Übungen - Mathematik   Klasse 11-I GK

    Übung: Länge einer Strecke

Aufgabe: Zeigen Sie, dass das Dreieck ABC mit A(1|2), B(2|1) und C(3|3) gleichschenklig ist!

AB = √(2-1)2+(1-2)2 =2    AC = (3-1)2+(3-2)2 = √5    BC = (3-2)2+(3-1)2 = 5    AC = BC    ∆ABC gleichschenklig

Aufgabe: Welche Punkte auf der x-Achse haben vom Punkt P(7|8) den Abstand 10 (LE)?

Q(x|0) ist beliebiger Punkt auf x-Achse                                                                                    

0 = (7-x)2+(8-0)2      100 = (7-x)2 + 64       36 = x2 - 14x + 49       0 = x2 - 14x + 13         

x1 = 1  und x2 = 13  also haben die Punkte Q1(1|0) und Q2(13|0) zum Punkt P den Abstand 10

Aufgabe: Weisen Sie mit Hilfe der Umkehrung des Satzes von Pythagoras durch Abstandsberechnungen nach, dass das Dreieck ABC mit A(3|1) , B(12|4) und C(1|7) rechtwinklig ist!

AB =(12 -3)2+(4-1)2=81+9 = √90    BC =√(1 -12)2+(7-4)2=121+9 = √130    AC =(1 -3)2+(7-1)2=4+36 =40

wegen  AB2 + AC2 = 90 + 40 = 130 = BC2  folgt nach der Umkehrung des Satzes von Pythagoras  Dreieck ABC rechtwinklig

home                       Stoff                                     zurück                      HA                              top

    Übung: Mittelpunkt einer Strecke

Aufgabe: Prüfen Sie, ob sich im Viereck ABCD mit A(3|-3), B(2|0), C(-1|1), D(0|-2) die Diagonalen halbieren! Um welche Art Viereck müsste es sich dann handeln?

MAC(1|-1)    MBD(1|-1)    Diagonalen halbieren sich tatsächlich; es müsste ein Parallelogramm sein

Aufgabe:  

home                       Stoff                                     zurück                      HA                              top

    Übung: Steigung einer Strecke

Aufgabe: Zeigen Sie, dass im Viereck ABCD mit A(-3|1), B(-1|-5), C(3|-2), D(4|5) die Diagonalen senkrecht zueinander verlaufen! Um welche Art Viereck müsste es sich dann handeln?

mAC = (-2 - 1)/(3 - (-3)) = -3/6 = -½        mBD = (5 - (-5))/(4 - (-1)) = 10/5 = 2        mAC·mBD = -½·2 = -1        Diagonalen stehen senkrecht aufeinander; es müsste sich um ein Drachenviereck handeln

Aufgabe:  Bestimmen Sie im Dreieck ABC mit A(-4|-2), B(4|-1) und C(-1|4) die Steigungen der drei Höhen!

mAB = (-1+2)/(4+4) =  ⅛        mhc = -8

mBC = (4+1)/(-1-4) =  -1        mha = 1

mAc = (4+2)/(-1+4) =  2        mhb = -½

home                       Stoff                                     zurück                      HA                              top

    Übung: Innenwinkel von Figuren

Aufgabe: Bestimmen Sie die Innenwinkel des Dreiecks ABC mit A(-4|3), B(-1|-3) und C(5|-2)!

mAB =  -2      αc = 116,6°                 mBC =  1/6    αa = 9,5°                    mAc -5/9        αb = 150,9°

α = αb - αc = 150,9° - 116,6° = 34,3°    β = αc - αa = 116,6° - 9,5° = 107,1°     γ' = αb - αa = 150,9° - 9,5° = 141,4°

γ' ist wieder der Nebenwinkel (wie man nur durch eine Skizze erkennt);  γ = 180° - γ' = 180° - 141,4° = 38,6°

Aufgabe:  

home                       Stoff                                     zurück                      HA                              top

    Übung: Geradengleichungen

Aufgabe: Bestimme die Gleichung der Geraden g, welche durch P(5|-2) und m = - ¾ gegeben ist!

y + 2 = - ¾·(x - 5)            y = - ¾·x + 7/4

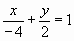
Aufgabe: Bestimme die Gleichung der Geraden g, welche den P(-1|-4) enthält und senkrecht zu einer Geraden h mit Anstieg mh  = - 2/7  verläuft!

y + 4 =  7/2·(x + 1)            y = 7/2·x  - ½

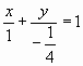
Aufgabe:  Bestimme die Gleichung der Geraden g, welche durch P1(1|4) und P2(-4/3|16/3) gegeben ist!

y - 4 = ·(x - 1)            y - 4 = - 4/7·(x - 1)             y = - 4/7·x + 32/7           4x + 7y = 32                32/7   

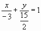
Aufgabe:  Bestimme die Gleichung der Geraden g, welche durch P1(-3|4) und P2(5|2) gegeben ist, in der kartesischen Normalform, der allgemeinen und der Achsenabschnittsform!

y - 4 = ·(x + 3)            y - 4 = -¼·(x + 3)             y = - ¼·x + 13/4           x + 4y = 13          

Übung: Punktrichtungs- und Zweipunktgleichung

Punktrichtungsgleichung:                 y - y1 = m · (x - x1) Zweipunktgleichung:                y - y1 = · (x - x1)
B(-3|1)   m = -7/3                           y - 1 = -7/3·(x + 3)

                                                   y - 1= -7/3·x - 7           /+1

                                                       y = -7/3·x - 6           /·3

                                                     3y = -7x - 18             /+7x

                                              7x + 3y = -18                   /:(-18)

                                     -7/18·x - 1/6·y = 1

                                             

A(-3|-1)   B(5|1)                     y + 1 =· (x + 3)

                                            y + 1 = ¼·(x + 3)

                                            y + 1 = ¼·x + 3/4             /-1

                                                 y  = ¼·x - ¼               /·4

                                               4y  = x - 1                    /-4y + 1

                                           x - 4y = 1

                                          

P(2|3)   m = -3/2                           y - 3 = -3/2·(x - 2)

                                                  y - 3 = -3/2·x + 3           /+3

                                                       y = -3/2·x + 6          /·2

                                                     2y = -3x + 12            /+3x

                                              3x + 2y = 12                    /:12

                                        ¼·x + 1/6·y = 1

                                                 

 

R(-2|1)   S(4|4)                       y - 1 =· (x + 2)

                                            y - 1 = ½·(x + 2)

                                            y - 1 = ½·x + 1               /+1

                                                y  = ½·x + 2               /·2

                                              2y  = x + 4                   /-x

                                         -x + 2y = 4                        /:4

                                    -¼·x + ½·y = 1

                                           

P(-1|5)   m = 2,5 = 5/2                  y - 5 = 5/2·(x + 1)

                                                   y - 5= 5/2·x + 5/2            /+5

                                                       y = 5/2·x + 15/2          /·2

                                                     2y = 5x + 15                 /-5x

                                             -5x + 2y = 15                        /:15

                                        -1/3·x + 2/15·y = 1

                                                 

 

P(-4|-6)   Q(8|3)                     y + 6 =· (x + 4)

                                            y + 6 = 3/4·(x + 4)

                                            y + 6 = 3/4·x + 3            /-6 

                                                y  = 3/4·x - 3             /·4

                                              4y  = 3x - 12                /-4y + 12

                                         3x - 4y = 12                      /:12

                                        ¼·x - 1/3·y = 1

                                           

home                       Stoff                                     zurück                      HA                              top

    Übung: Lagebeziehung zwischen zwei Geraden - Schnittwinkel zweier Geraden

Aufgabe: 

Aufgabe:  

home                       Stoff                                     zurück                      HA                              top

    Übung: Besondere Linien im Dreieck

Aufgabe: 

Aufgabe:  

home                       Stoff                                     zurück                      HA                              top

   Übung: Der Flächeninhalt eines Dreiecks

Aufgabe: 

Aufgabe:  

home                       Stoff                                     zurück                      HA                              top

        

        Übung: lineare Gleichungssysteme mit zwei Variablen

1. Lösen Sie das Gleichungssystem und machen Sie eine Probe! Lösen Sie Aufgabe a auch graphisch!

    a) I   2x - 3y  =  7                        b) I   5x1 - 15x2  =  45                        c) I   11a + 5b  =  0

        II   x + 6y  =  9                             II  7x1 - 20x2  =  60                            II  13a + 7b  =  8

D = 15    D1 = 69    D2 = 11            D = 5    D1 = 0    D2 = -15                    D = 12    D1 = -40    D2 = 88

L = {[23/5|11/15]}                        L = {[0|-3]}                                            L = {[-10/3|22/3]}

       home                   Stoff                                  zurück                        HA                          top

        

         Übung: Lösbarkeit linearer Gleichungssysteme mit zwei Variablen

2. Für welche Werte des Parameters a ist das Gleichungssystem eindeutig lösbar?

  b) I   3x + 4y  =  7                            c) I   ax + 2y  =  5                                        d) I   ax - 2y  =  a

      II  2x - 6y = a + 12                          II  8x + ay  =  10                                          II  2x - ay  =  2  

    für alle reellen Zahlen a       für alle reellen Zahlen a außer 4 und -4    für alle reellen Zahlen a außer 2 und -2

                                                    für a = 4 folgt L = {[x|-2x + 5/2]}         für a = 2 folgt L = {[x|x-1]}

                                                    für a = -4 folgt  L = Ø                                   für a = -2 folgt auch  L = {[x|x-1]}

       home                   Stoff                                  zurück                        HA                          top

        Übung: Gaußscher Lösungsalgorithmus

I     9x1 + 2x2 + 3x3  =  3            I     9x1 + 2x2 + 3x3  =  3            I     9x1 + 2x2 + 3x3  =  3

II  12x1 - x2 + 12x3  =  6            II        - 11x2 + 24x3  =  6            II       - 11x2 + 24x3  =  6        L = {[-2|6|3]}

III  2x1  + x -  2x3  = -4           III            5x2 - 24x3  =  -42        III                  -144x3  =  -432

 

I     5x - 2y + 9z  =  -21            I     5x - 2y + 9z  =  -21            I     5x - 2y + 9z  =  -21

II   2x + 3y - 2z  =  12              II        19y - 28z  =  102           II        19y - 28z  =  102        L = {[4|-2|-5]}

III  8x  + y + 6z  =  0               III       21y - 42z  =  168           III             -210z  =  1050

 

I     4x1 + 5x2 + 2x3  =  3            I     4x1 + 5x2 + 2x3  =  3            I     4x1 + 5x2 + 2x3  =  3

II  -19x1  - x - 3x3  =  2            II          91x2 + 26x3  =  65         II          91x2 + 26x3  =  65       L = {[¼| ½ |¾ ]}

II  7x1 + 4x2 +  x3  =  1            III        -19x2 - 10x3  =  -17        III                  -416x3  =  -312

 

  I    2x - 4y +  5z  =  3            I    -x + 7y  -  z  =  5            I     x1 +   x2 +   x3  =  3            I   2x1 -   4x2 +   x =  0

 II   3x + 3y + 7z  =  13         II   4x -   y  +  z  =  1            II  2x1 + 4x2 + 5x =  9           II    x1 + 3x2 + 5x3  =  0

 III 4x -  2y  -  3z  =  -1         III  5x - 3y  +  z  =  -1          III           4x2 + 4x =  8           III 4x1 -   x2  +   x =  0

        L = {[1|1|1]}                     L = {[0|1|2]}                         L = {[1|1|1]}                             L = {[0|0|0]}

  I   u + 3v + w  =  19           I   3x + 4y + 6z  =  -5                I   6x1 -  5x2 + 2x =  8        I   2k - 3l + 4m  =  10

 II -u +   v -  w  = -7            II  2x -  3y -  4z  =  2                 II -3x1+10x2 + 3x = -11     II  3k + 2l - 5m  =  7  

III 2u + 2v + w  = 18          III   x + 2y -  4z  =  22               III                x2 + 4x =  0     III 7k - 5l + 3m  =  9

           L = {[2|3|8]}                     L = {[0|4|-3,5]}       L = {[9/26|-14/13|7/26]}    L = {[102/11|18|125/11]}  

 I  3a + 2b + 3c  =  9

II           4b - 2c  = 10 

III 2a  - 7b +  c  = -2

 L = {[144/31|39/31|-77/31]}

        home                   Stoff                                  zurück                        HA                          top

        Übung: Regel von Sarrus

I     2x - 4y +  z  =  0        D = (28 + 60 + 4) - (6 + 40 + 28) = (92) - (74) = 18

II    -x + 2y - 5z  =  7       D1 = (-148) - (-208) = 60        D2 = (104) - (81) = 23        D3 = (-108) - (-80) = -28

III 3x - 4y + 7z  = -6        L = {[10/3|23/18|-14/9]}

 

I   -4x1 + 7x2 + 9x3  =  -3        D = (120 - 245 - 54) - (-225 - 56 + 126) = (-179) - (-155) = -24

II    3x1 - 5x2 - 7x3  =  6       D1 = (-67) - (165) = -232   D2 = (-12) - (244) = -256   D3 = (248) - (144) = 104

III  5x1 - 2x2 + 6x3  = 1        L = {[29/3|32/3|-13/3]}

        home                   Stoff                                  zurück                        HA                          top

         Übung: Manigfaltigkeit der Lösungsmenge

I     3x1 - 2x2 - 2x3  =  2            I     3x1 - 2x2 - 2x3  =  2                       3x1 - 2(-4/7·x3 + 5/7)  - 2x3  =  2 

II  -x1 + 3x2 + 2x3  =  1            II            7x2 + 4x3  =  5            x2 = -4/7·x3 + 5/7

L = {[2/7·x3 + 8/7|-4/3x3 + 5/7|x3]}    x3 frei wählbare Variable

 

I     -x1 +  x2 + 2x3  =  0            I     -x1 +  x2 + 2x3  =  0            I     -x1 +  x2 + 2x3  =  0                   x1 = 3x3 + 3x3

II     x1 - 3x2 + 4x3  =  0            II           -2x2 + 6x3  =  0           II           -2x2 + 6x3  =  0             x2 = 3x3

III 2x1 - 4x2 + 2x3  =  0            III            6x2 + 6x3  =  0           III                          0  =  0

L = {[5x3|3x3|x3]}    x3 frei wählbare Variable

        home                   Stoff                                  zurück                        HA                          top

        Übung: Gleichungssysteme mit Parametern

I     ax + y      =  a            D = -a2 - a = 0            -a·(a + 1) = 0        a1 = 0    a2 = -1

II   ax       + z  = a           D1 = -a2                            D2 = -a2                            D3 = -a2

III        ay + z = a           D1(0)= 0            D1 (-1)= -1            D2 (0)= 0            D2 (-1)= -1            D3(0)= 0    D3(-1)= -1 

für alle alle reellen Zahlen außer 0 und -1 existiert eine eindeutige Lösung:    L ={[ | | ]} 

für a = 0 hat das Gleichungssystem unendlich viele Lösungen:    L  = {[0/0|0/0|0/0]}

für a = -1 hat das Gleichungssystem keine Lösung:    L = {[-1/0|-1/0|-1/0]}

 

I     3x - ay + z  =  a           D = 3a -12 = 0                    a = 4

II   -x + 3y - 2z  = 1           D1 = -4a                            D2 = -3a - 4                             D3 = -4a

III 5x -12y +7z = -4          D1 (4)= -16                        D2 (4)= -16                D3(4)= -16 

für alle alle reellen Zahlen außer 4 existiert eine eindeutige Lösung:    L ={[ | |]} 

für a = 4 hat das Gleichungssystem keine Lösung:    L = Ø

        home                   Stoff                                 zurück                        HA                          top

        Übung: Anwendungsaufgaben zu linearen Gleichungssysteme

Aufgabe:   An einer Kinokasse werden Karten in drei Preislagen verkauft: I.Rang  für 6€   II.Rang  für 7€  und III.Rang für 8€. Bei einer Vorführung wurden 60 Karten zu insgesamt 410€ verkauft. Für den zweiten Rang wurden ebenso viele Karten verkauft wie für beiden anderen Ränge zusammen. Wie verteilen sich die 60 Karten auf die drei Ränge?

I      x +  y +  z  =  60        (Plätze)                                                        x - Anzahl der Plätze im I. Rang

II   6x +7y + 8z = 410      (Einnahmen)                                               y - Anzahl der Plätze im II. Rang

III         y        =  x + z       (Plätze im Vergleich)                                 z - Anzahl der Plätze im III. Rang

L = {[20|30|10]}

 

Aufgabe:  Von einer ganzrationalen Funktion 3.Grades sei bekannt:  f(-1) = 0; f(0) = 1; f(1) = 4; f(2) = 15 Bestimmen Sie die Gleichung der Ganzrationalen Funktion! 

allgemeine Gleichung einer Funktion dritten Grades:   f(x) = ax3 + bx2 + cx + d            

aus  f(-1) = 0 wird   I      -a +  b -  c +  d  =  0                 I    8a + 4b + 2c  = 14            I    8a + 4b + 2c  = 14

aus   f(0) = 1 wird   II                             d  =  1                II      a +  b  +  c  =  3             II                     2b  =  2

aus f(1) = 4 wird    III     a +  b +  c +  d  =  4                III    -a +  b  -  c  =  -1           III           12b - 6c = 6

aus f(2) = 15 wird  IV  8a + 4b + 2c + d  = 15                

L  =  {[1|1|1|1]}        also   f(x) = x3 + x2 + x + 1     

Aufgabe:  Bestimmen Sie die Gleichung einer ganzrationalen Funktion dritten Grades, dessen Schaubild (Graph) die folgenden Eigenschaften aufweist:    E1(2|23)  und E2(4|19) sind zwei Extrempunkte.

allgemeine Fktgleichung dritten Grades:   f(x) = ax3 + bx2 + cx + d     f'(x) = 3ax2 + 2bx + c     

wegen  f(2) = 23 folgt:          I    8a  + 4b  + 2c  +  d  = 23      I    d + 2c+ 4b + 8a = 23    I   d + 2c + 4b +  8a = 23  

wegen  f(4) = 19 folgt:          II  64a + 16b + 4c +  d  = 19     II      2c +12b +56a = -4    II     2c +12b +56a = -4

wegen f'(2) = 0 (EP) folgt:  III 12a  + 4b  +  c           = 0       III        c + 4b +12a  = 0    III              4b + 32a = -4

wegen f'(4) = 0 (EP) folgt:   IV 48a + 8b   +  c           = 0       IV        c  + 8b  + 48a  = 0    IV                       - 8a = -8

L  =  {[1|-9|24|3]}          also    f(x) = x3 - 9x2 + 24x + 3           

        home                   Stoff                                 zurück                        HA                          top

    Übung: lineare Funktionen

Aufgabe: Lesen Sie die Gleichungen folgender linearer Funktionen aus ihren Graphen ab:

Nr.95/1

f(x) = y = -3x - 1   g(x)= y =-4/5·x+2   h(x) = y=x - 2,5

Nr.95/2

f(x) = y = 2x + 2     g(x) = y = 2x     h(x) = y = 2x - 2

Nr.95/3

f(x) = y = 2       g(x) = y = -3/5·x - 3/10       h:  x = 2

Nr.95/4

f(x) = y = ½·x + 1   g(x) = y=3·x-3   h(x) = y=-5/2·x - 3

Nr.95/5

f(x) = y= -3/2·x + 15/2   g(x) =y =-x-10   h(x) = y=-½·x 

Nr.95/6

f(x) =y=-8/15·x+15/2   g(x)=y=-5/4·x-10   h(x)=y=-43/60x

Aufgabe:  gegeben sei die folgende Wertetabelle:

x -3 1 5
y -2 1 4
  1. Weisen Sie nach, dass es sich um Wertepaare einer linearen Funktion f  handeln könnte!
  2. Geben Sie die Gleichung dieser Funktion an! Zeichnen Sie den Graph der Funktion f!
  3. Berechnen Sie die Nullstelle von f und vergleichen Sie das Ergebnis mit der Zeichnung!
  4. Bestimmen Sie die Gleichung der Gerade g, die den Graphen von f im Punkt P(1/1) schneidet und senkrecht auf ihm steht!

           home                       Stoff                                     zurück                      HA                              top

            Anwendungsaufgaben: lineare Funktionen

1.     Frau Müller ist Vertreterin. Ihr monatliches Bruttogehalt setzt sich aus einem Fixum von 1000 € und 6% Provision für verkaufte Ware zusammen.

a) Erklären Sie die Begriffe „Bruttogehalt“, „Fixum“ und „Provision“!

b) Stellen Sie eine lineare Funktionsgleichung auf, die den Zusammenhang zwischen Waren-

     verkaufswert und Bruttogehalt beschreibt!

c) Frau Müller verkaufte im Januar Waren im Wert von 3750 €; im Februar von 3000 € und im            

     März von 5000 €. Wie hoch war jeweils ihr Bruttogehalt?   

d) Im April hatte Frau Müller ein Bruttogehalt von 1450 €. Für wie viel  € hat sie in diesem Monat

    Waren verkauft?

e) Der Chef  von Frau Müller macht ihr ein Angebot: Sie erhält 9% Provision, aber nur ein Fixum

     von 750 € . Soll sie das Angebot annehmen?

 

2.     Im Jahr 2001 wurden auf dem Grundstück der Familie Rohatsch 271 m³ Trinkwasser verbraucht, davon 36 m³ als Gartenwasser genutzt. Die VBH berechnete für die Trinkwasserlieferung 2,54 DM/m³ bei einem jährlichen Grundpreis von 144 DM zuzüglich 7% Mehrwertsteuer; für die Abwasserbehandlung (ohne Berücksichtigung des Gartenwassers) 5,62 DM/m³ bei einem jährlichen Grundpreis von 180 DM. Die Familie hatte im Laufe des Jahres für beide Dienstleistungen zusammen monatliche Abschlagszahlungen von 173,50 DM getätigt.

    Berechnen Sie den Betrag der Nachforderungen seitens der VBH an die Familie Rohatsch am Ende des Jahres 2001!

 

3.     Ein Güterzug fährt mit einer Geschwindigkeit von 60 km/h von Ahausen nach Bstadt. Ein Schnellzug mit einer Geschwindigkeit von 120 km/h passiert Ahausen eine halbe Stunde später in die gleiche Richtung. Die Entfernung von Ahausen nach Bstadt beträgt 180 km.

    a) Wann holt der Schnellzug den Güterzug ein?

   b) Wie weit sind im Moment des Einholens beide Züge von Ahausen  entfernt?

           home                       Stoff                                     zurück                      HA                              top

 

        Übung: quadratische Funktionen

Aufgabe: Bestimmen Sie jeweils den Scheitel der Parabel und zeichnen Sie den Funktionsgraphen in ein kartesisches  Koordinatensystem!

  1. f(x)  =  y  = 
  2. f(x)  =  y  =  x² - 1
  3. f(x)  =  y  =  x² + 1,5
  4. f(x)  =  y  =  ( x – 1 )²
  5. f(x)  =  y  =  ( x + 2,5 )²
  6. f(x)  =  y  =  ( x + 2 )² - 1
  7. f(x)  =  y  =  ( x – 3 )² + 2
  8. f(x)  =  y  =  -x²
  9. f(x)  =  y  =  -x² - 1
  10. f(x)  =  y  =  -x² + 4
  11. f(x)  =  y  =  -( x + 2 )²
  12. f(x)  =  y  =  -( x – 2 )² + 4
  13. f(x)  =  y  =  ½ x² - 2
  14. f(x)  =  y  =  - ¼ x² + 1
  15. f(x)  =  y  =  1,5·( x – 2,5 )²

Aufgabe: Zeichnen Sie den Graph der Funktion y = x2 + 3 !

Aufgabe: Zeichnen Sie den Graph der Funktion y = (x + 3 )2 !

Aufgabe: Zeichnen Sie den Graph der Funktion y = 2·(x - 1)2 - 4 !

Aufgabe: gegeben sei eine quadratische Funktion mit der Gleichung:  y = f(x) = - 0,5 x² + 1,5 x + 2

  1. Berechnen Sie die Koordinaten des Scheitelpunktes mit Hilfe der Formel aus dem Tafelwerk!

  2. Wandeln sie die Funktionsgleichung in die Form:  y = a(x+c)² + d  um und lesen Sie die Koordinaten des Scheitelpunktes ab! Vergleichen Sie mit dem Ergebnis von Aufgabe 1!

  3. Skizzieren Sie den Graphen von f ins Koordinatensystem! Bestimmen sie die Nullstellen von f sowohl graphisch als auch rechnerisch!                                           

  4. Mit der Gleichung: y = g(x) = (x-1)² - 4 sei eine zweite quadratische Funktion gegeben. Berechnen Sie die Schnittpunkte zwischen den Graphen von f und g! Überprüfen Sie ihre Lösung graphisch !

           home                       Stoff                                     zurück                      HA                              top

        Übung: Lösungsverfahren für quadratische Gleichungen

Aufgabe: Lösen Sie die folgenden Gleichungen und geben Sie die Lösungsmenge an!

    a) x·(x - 2) = 2·(4 - x) + 4,25                                        b) 3·(x + 2)·(x - 4) = (x - 8)·(x + 3)

                  x2   =  12,25                                                                2x2 - x   =  0

    c) x2 - 2x - 3  = 0                                                              d) 3·x2 = 5·(6x - 15)

    Prüfen Sie Ihr Ergebnis mit Satz von Vieta                        eleganter Lösungsweg braucht keine Lösungsformel

           home                       Stoff                                     zurück                      HA                              top

        Übung: Lagebeziehung zwischen Parabeln und Geraden

 

           home                       Stoff                                     zurück                      HA                              top

       Anwendungsaufgaben: quadratische Funktionen

Aufgabe: Bestimmen Sie die Gleichung einer quadratischen Funktion f, deren Funktionsgraph durch die Punkte P(0|1) Q(1|2,5) und R(5|-1,5) verläuft und ermitteln Sie dessen Scheitelpunkt!   f(x) = -½x2+2x+1      S(2|3)

  1. Ein Rechteck hat einen Flächeninhalt von 105 cm². Die Seite a ist  8 cm länger als die Seite b. 

    1. Berechnen Sie die Seitenlängen des Rechtecks!

    2. Wird bei dem oben angegebenen Rechteck die Seite b um  x cm vergrößert und die Seite a gleichzeitig um  x cm verkürzt, so hat das neue Rechteck ein Flächeninhalt von  120 cm². Wie groß muss die Strecke x gewählt werden?

  2. Ein Radfahrer und ein Mopedfahrer fahren eine Strecke von  60 km. Der Radfahrer legt in einer Stunde 5 km weniger zurück als der Mopedfahrer  und fährt auf dieser Strecke eine Stunde länger als der Mopedfahrer. Berechnen Sie die Geschwindigkeiten der beide Fahrer!

  3. Die Oberfläche einer quadratischen Pyramide beträgt  96 cm². Die Seitenhöhe ist um  1 cm kürzer als die Grundkantenlänge. Berechnen Sie das Volumen der Pyramide!  

LB.S.102 Nr.48

da der Koordinatenursprung im Scheitelpunkt der Parabel liegen soll, sind die Höhen der Punkte P1 und P2 noch nicht ganz klar, aber wegen der Funktionsgleichung f(x) = a·x2  gilt:  P1(22,5|506,25a)   und   P2(9,5|90,25a)  und da man die Differenz der beiden Höhen kennt ergibt sich folgende Funktionsgleichung:  f(x) = 7/208·x2                             und mit dieser Gleichung ergibt sich der Brennpunkt F mit F(0|7,43)

     home                       Stoff                                     zurück                      HA                              top

Übungen - Mathematik   Klasse 11-II GK

            Übung: Potenzfunktionen

Aufgabe:  Bestimmen Sie die Gleichung einer Funktion f mit der Gleichung  f(x) = a·xn , dessen Graph durch die Punkte P(2|8)  und  Q(-3/2|81/32)  verläuft!

Lösung:   I              8 = a·2n                I*     a = 8/2n

                II    81/32 = a·(-3/2)n      II*   81/32 = 8/2n·(-3/2)n    (einsetzen der umgestellten Gleichung I* in II)

                                                                      81/32 = 8·(-3/4)n  

                                                                    81/256 = (-3/4)n     also n ist gerade (Vorzeichen) 

                                                                     81/256 = (3/4)n

           und über Zähler- und Nennervergleich     n    =    4,       und daraus folgt nach Gleichung I*, dass   a  =  0,5

Ergebnis:    f(x)  =  0,5·x4   ist die Gleichung der gesuchten Funktion

Aufgabe:  Skizzieren Sie den Graph der folgenden Funktion f unter Berücksichtigung der durch die Parameter hervorgerufenen Veränderungen gegenüber dem Graph der Grundfunktion!

f1(x) = 0,25·x3+2                     f2(x) = 0,5·(x-3)3                   f3(x) = 0,25·(x-3)4 -3

                           

           home                       Stoff                           zurück                      HA                              top

        Übung: Nullstellen ganzrationaler Funktionen

kubische Gleichungen:

reinkubische Gleichungen

kubische Gleichungen ohne Absolutglied

ax3 + d = 0 ax3 + cx = 0 ax3 + bx2 = 0 ax3 + bx2 + cx = 0

·x3 + 9  =  0   /·3

x3 + 27  =  0   /-27

        x3  =  -27   /

 x  =  -3

L = {-3}

3x - ·x3  =  0

·x·(-x2 + 9)  =  0

x1 = 0      -x2 + 9 = 0  /+x2

x2  =  9  /

|x|  =  3

x2 = -3   x3 = 3

L = {-3;0;3}

6x3 + 9x2  =  0

3x2·(2x + 3)  =  0

x1/2 = 0     2x + 3 = 0  /-3

2x  =  -3  /:2

x  =  - 1,5

L = {-1,5;0}

x3 - 3x2 - 10x  =  0

x·(x2 - 3x - 10)  =  0

x1 = 0        x2 - 3x - 10 = 0

x2/3 = 3/2 ±√(9/4 + 10)

x2 = -2     x3 = 5

L = {-2;0;5}

        home                      Stoff                              zurück                          HA                             top

Übung: Polynomdivision

1. (x3 - 3x2 - 5x + 6) : (x - 2)  = x2 - x - 12            2. (x3 - 2x2 - 5x + 6) : ( x - 1)  =  x2 - x - 6

3. (x3 + x2 - x - 1) : (x - 1)  =  x2 + 2x + 1              4. (x3 - 7x2 + 7x + 15) : (x - 5)  = x2 - 2x - 3

5. (x3 + 0x2 + x + 2) : (x + 1)  =  x2 - x + 2      

6. 6x3 - 25x2 + 3x + 4  =  0                                        7. 4x3 + 0x2 - 13x + 6  =  0

    (x - 4) · (6x2 - x -1) = 0     L = {-; ½; 4}           (x + 2) · (4x2 -8x + 3) = 0     L = {-2; 0,5; 1,5}

        home                      Stoff                              zurück                          HA                             top

Übung: biquadratische Gleichungen

1. x4 - 5x2 + 4  =  0                                                     2. 2x4 - 2x2 - 40  =  0        

    z2 - 5z + 4  =  0        L ={[-2; -1; 1; 2]}                     z2 - z - 20  =  0        L ={[-√5; √5]} 

        home                      Stoff                              zurück                          HA                             top

bullet

f(x) = x³ + 2x² - 12x                           0 = x·(x2 + 2x - 12)                     L = {-1-√13; 0 ; -1+√13}

bullet

f(x) = x4 - 4x² - 12                               0 = z2 - 4z - 12                             L = {-√6; √6}

bullet

f(x) = x5 – x4 – x³                                0 = x3·(x2 - x - 1)                         L = { ; 0 ;  }

bullet

f(x) = -6x4 + 18x³ - 110,4x²              0 = -6x2·(x2 - 3x + 18,4)            L = { 0 }

bullet

f(x) = 4x³ - 8x                                      0 = 4x·(x2 - 2)                              L = {-√2; 0 ; √2}

bullet

f(x) = 2x4 - 20x² - 22                          0 = 2·(z2 - 10z - 11)                 L = {-√11; √11}

bullet

f(x) = x5 - 8x³ + 7x               0 = x·(x4-8x2+7)       0 = z2 - 8z + 7        L = {-√7; -1;1;√7}

bullet

f(x) = x³ - x² - 10x - 8                        0 = (x + 1)·(x2 - 2x - 8)              L = {-2; -1 ; 4}

bullet

f(x) = 9x4 + 15x³ - 14x²                     0 = x2·(9x2 + 15x - 14)               L = {-7/3; 0 ;2/3}

bullet

f(x) = 2x6 + 14x³ - 16                         0 = 2·(z2 + 7z - 8)                        L = {1; -2}

bullet

f(x) = ¼·x4 - 4x²                                  0 = ¼x2·(x2 - 16)                        L = {-4; 0 ; 4}

bullet

f(x) = x4 -2x³ + 2x - 1          0 = (x-1)·(x3-x2-x+1)  0 = (x-1)·(x+1)·(x2-2x+1)       L = {-1; 1}

bullet

f(x) = x³ - 7x - 6                                   0 = (x+1)·(x2-x-6)                     L = {-2;-1;3}

bullet

f(x) = x³ + 4x² - 11x - 30                    0 = (x+2)·(x2+2x-15)               L = {-5; -2 ; 3}

bullet

f(x) = x4  -12x³ +22x² +84x +49     0=(x+1)(x3-13x2+35x+49)   0=(x+1)(x+1)(x2-14x+49)   L={-1; 7}

bullet

f(x) = 6x³ + 13x² - 41x + 12               0 = (x+4)·(6x2-11x+3)              L = {-4; ;1,5}

bullet

f(x) = x4 - 3x³ - 4x²                              0 = x2·(x2 - 3x - 4)                      L = {-1; 0 ; 4}

bullet

f(x) = 8x³ - 26x² - 7x                           0 = x·(8x2 - 26x - 7)                L = {-¼; 0 ;3,5}

bullet

f(x) = 2x³ - 3x² - 11x + 6                    0 = (x+2)·(2x2 - 7x + 3)             L = {-2; ½ ; 3}

bullet

f(x) = x³ + ½·x² - x - ½                      0 = (x-1)·(x2+1,5x+½)              L = {-1; -½ ; 1}

bullet

f(x) = (2/25)·x5 – x³ + (25/8)·x       0 = (2/25·x)(x4-25/2·x2+625/16)    L = {-2,5; 0 ; 2,5}

        home                      Stoff                              zurück                          HA                             top

Übung: Schnittstellen ganzrationaler Funktionen

  Der Graph der Funktion g mit g(x) = -1,25x3 + x2 + 1,25x beschreibt den Meander eines Flusslaufes, entlang der Normalparabel f(x) = x2 soll ein Fahrradweg gebaut werden. An welchen Stellen ist eine Brücke zu planen?                                     f(x) = g(x)

x2 = -1,25x3 + x2 + 1,25x

0 = -1,25x3 + 1,25x

0 = -1,25x·(x2 - 1)

xS1 = 0              x2 - 1 = 0

                                xS2 = -1     xS3 = 1

        home                      Stoff                              zurück                          HA                             top

        Übung: Symmetrieeigenschaften von ganzrationalen Funktionen

Aufgabe:   Untersuchen Sie die Funktion f auf Symmetrie und bestimmen Sie die Nullstellen von f!

f(x) = 0,5·x5 - 4x3 + 3,5x 

Vermutung: Zentralsymmetrie zum KU

                                       f(-x)  =  - f(x)

0,5·(-x)5 - 4(-x)3 + 3,5(-x) = -(0,5·x5 - 4x3 + 3,5x)

        0,5·x5 + 4x3 - 3,5x  =  -0,5·x5 + 4x3 - 3,5x     w.A.

Graph von f ist zentralsymmetrisch zum KU

f(x) = 9x4 + 15x3 - 14x2

f(-x)  =  9(-x)4 + 15(-x)3 - 14(-x)2

f(-x)  =  9x4 - 15x3 - 14x≠ f(x)

f(-x)  = + 9x4 - 15x3 - 14x≠ -f(x)

Graph von f  ist weder axialsymmetrisch zur y-Achse

noch zentralsymmetrisch zum Koordinatenursprung

0 = 0,5·x5 - 4x3 + 3,5x 

0 = 0,5x·(x4 - 8x2 + 7)

xN1 = 0      z2 - 8z + 7 = 0

                   z1/2 = 4 ± √(16-7) = 4 ± 3

               z1 = 1       x2 = 1      xN2 = -1       xN3 = 1

               z2 = 1       x2 = 7      xN4 = -√7       xN5 = √7

0  =  9x4 + 15x3 - 14x2

0  =  x2·(9x2 + 15x - 14)

xN1/2 = 0       x2 + 15/9·x - 14/9  =  0

                    xN3/4 = -15/18 ± √(225/324 + 14/9) 

                    xN3/4 = -15/18 ± 27/18

               xN3 = 2/3                     xN4 = -7/3                   

   LB.S.123 Nr. 33

a)  0 = x·(x4 + 7,25x2 + 2,25)         0 = z2 + 7,25z + 2,25         z1/2 = -3,625 ± √(13,14 - 2,25) = -3,625 ± 3,3

   xN1 = 0                              z1 = -6,925        z2 = -0,325        x2 = -6,925        x2 = -0,325    keine weitere Nullstelle

b)  a1 müsste kleiner als Null sein, denn dann:

0 = z2 + 7,25z + a1         z1/2 = -3,625 ± √(13,14 - a1) = -3,625 ± (>-3,625)       und damit:

                                         einmal   x2 >0   und einmal   x2 < 0 ; aus erster Gleichung zwei weitere Nullstellen

c) f(-x) = (-x)5 + 7,25(-x)3 + 2,25(-x)  = -x5 - 7,25x3 - 2,25x  =  -(x5 + 7,25x3 + 2,25x)  =  -f(x)

der Graph der Funktion f ist zentralsymmetrisch zum Koordinatenursprung

d)   

                            f(x)  =  g(x)   

x5 + 7,25x3 + 2,25x  =  2,25x

                x5 + 7,25x3 = 0

           x3·(x2 + 7,25) = 0

                             xN1/2/3 = 0

e)  m  =  tanα        2,25 = tanα        α = 66,0°,  

 da g eine lineare Funktion ist und dort gilt:     Anstiegswinkel = Schnittwinkel mit dem positiven Teil der x-Achse

f)   f(x) + a =  x5 + 7,25x3 + 2,25x + a         f(1) = 15 + 7,25·13 + 2,25·1 + a  =  2        a = -8,5                

        home                      Stoff                              zurück                          HA                             top

        Übung: Potenzen und Logarithmen

        home                      Stoff                              zurück                          HA                             top

        Übung: Eigenschaften der Exponentialfunktionen

        home                      Stoff                              zurück                          HA                             top

        Übung: exponentielles Wachstum und exponentieller Abfall

        home                      Stoff                              zurück                          HA                             top

        Übung: Logarithmusfunktionen

        home                      Stoff                              zurück                          HA                             top

    Klausurvorbereitung

Aufgabe 3:   a) 5,3:3,9 = 7,2:5,3 = 9,6:7,2 = 1,35 = konstant

                  b)  N(t) = 3,9·106·1,03t    (10.Wurzel aus 1,35)

                     c)  23,45 Jahre

                   d)  86,3 Jahre

                    e)  N(t) = 3,9·106·eln1,03·t

    Übungen - Mathematik   Klasse 12-I GK

        Übung: Zahlenfolgen

Aufgabe:  Berechnen Sie die ersten fünf Folgenglieder  ( n>=1) für die Zahlenfolgen mit der Vorschrift:

bullet(an) = (n + 1/n)       = ( 2; 5/2; 10/3; 17/4; 26/5; ... )
bullet(bn) = ((2n - 1)/n)  = ( 1; 3/2; 5/3; 7/4; 9/5; ...)

Aufgabe:  Ergänzen Sie die folgende Zahlenfolge um weiter drei Glieder und geben Sie die explizite Bildungsvorschrift der Folge an!

bullet(cn) = (4n - 3) = ( 1; 5; 9; 13; 17; 21; 25; ...)
bullet(dn) = ((-1)n·1/n) = (-1; 1/2; -1/3; 1/4; -1/5; 1/6; -1/7; ...)

Aufgabe:  Berechnen Sie die Folgenglieder a2 bis a6 und geben Sie eine explizite Bildungsvorschrift der Zahlenfolge an!

bullet(an):        a1 = 25        an+1 = an - 7        (an) = (-7n + 32) = (25; 18; 11; 4; -3; -10;...)    arithmetische ZF
bullet(an):        a1 = 0,5       an+1 = 2·an           (an) = (0,5·2n-1) = (0,5; 1; 2; 4; 8; 16; 32;...) = (0,25·2n)  geom.ZF
bullet(an):        a1 = 1          an+1 = 3an + 4     (an) = (3n-2) = (1; 7; 25; 79; 241; 727;...)

        home                      Stoff                              zurück                         HA                             top

        Übung: Grenzwerte von Zahlenfolgen

Bsp: Bsp:
Vermutung: 2 ist der Grenzwert der Zahlenfolge (an) Vermutung: -1,5 ist der Grenzwert der Zahlenfolge (an)
Frage:    Ab welchem Folgenglied liegen alle weiteren in der 1/10000-Umgebung von 2? Aufgabe: Weisen Sie nach, dass die Folge (an) den Grenzwert g = 2 hat!
zweiten Bruch auf Hauptnenner erweitern ε beliebig, aber fest

zweiten Bruch auf Hauptnenner erweitern

gleichnamige Brüche addieren gleichnamige Brüche addieren
Term vereinfachen Term vereinfachen
Betragstriche auflösen Betragstriche auflösen
nach n umstellen nach n umstellen
n > 10 000 der Term rechts vom Relationszeichen ist für  ε beliebig, aber fest eine feste reelle Zahl
bulletab dem Folgenglied a10001 = 20001/10001 liegen alle weiteren Folgenglieder innerhalb der 1/10000-Umgebung des vermuteten Grenzwertes   g = 2
bulletdies ist aber kein Nachweis für die Richtigkeit des vermuteten Grenzwertes, weil bei anderen (kleineren) ε-Umgebungen möglicherweise gar kein Folgenglied in dieser ε-Umgebung liegt
bulletwir brauchen also einen Nachweis für jede beliebige ε-Umgebung
bullet nur endlich viele natürliche Zahlen n werden kleiner sein als diese feste reelle Zahl
bullet aber unendlich viele natürliche Zahlen sind mit Sicherheit größer als diese feste Zahl, egal wie groß sie ist
bullet damit gilt die letzte Ungleichung (und damit auch die erste Ungleichung) für fast alle natürliche Zahlen n
bullet damit ist der Nachweis erbracht:                              es gilt:       

        home                      Stoff                              zurück                         HA                             top

        Übung: Grenzwertsätze für Zahlenfolgen

LB.S.15 Nr.8

        home                      Stoff                              zurück                         HA                             top

        Übung: Grenzwerte von Funktionen

altes Lehrbuch S.156/10        Funktionsgrenzwert an einer Stelle xo    Funktionsgrenzwert gegen Unendlich

  1.     Graph hat bei xo = 1 eine Lücke
  2.    Graph hat bei xo = 2 eine Lücke
  3. für x > 5      für x < 5    Graph hat bei xo = 5 einen Sprung
  4.   Graph nähert sich am rechten Rand des KS der Asymptote y=2
  5. existiert nicht, aus Wertetabelle ergibt sich: 

    x

    -0,5

    -0,2

    -0,1

    0

    0,1

    0,2

    0,5

    y

    12

    150

    1100

    ???

    -900

    -100

    -4

     

    Graph hat bei xo=0 eine Polstelle mit Vorzeichenwechsel

  6. Graph nähert sich am rechten Rand des KS der Asymptote y=0
  7. Graph hat bei xo = 1 eine Lücke
  8.   nicht besonderes, weil auch f(0) = 0
  9. Graph nähert sich am rechten Rand des KS der Asymptote y=
  10. existiert nicht, aus Wertetabelle ergibt sich: 

    x

    1,5

    1,8

    1,95

    2

    2,05

    2,2

    2,5

    y

    -5

    -22,4

    -112,1

    ???

    304,6

    38,4

    21

     

    Graph hat bei xo=2 eine Polstelle mit Vorzeichenwechsel

  11. existiert nicht, aus Wertetabelle ergibt sich: 

    x

    -0,5

    -0,2

    -0,1

    0

    0,1

    0,2

    0,5

    y

    15,9

    175

    1200

    ???

    -800

    -75

    0

     

    Graph hat bei xo=0 eine Polstelle mit Vorzeichenwechsel

  12. Graph nähert sich am rechten Rand des KS der Asymptote y=1/a2

        home                      Stoff                              zurück                         HA                             top

        Übung: Das Tangentenproblem

 

        home                      Stoff                              zurück                         HA                             top

        Übung: Die erste Ableitung einer Funktion an einer Stelle xo

 

        home                      Stoff                              zurück                         HA                             top

        Übung: elementare Ableitungsregeln

bulletf(x) = 3·x - 8                                                f '(x) = 3
bulletf(x) = -x + 5                                                 f '(x) = -1
bulletf(x) = -0,5·x2 + 2·x                                        f '(x) = x + 2
bulletf(x) = 5/8·x4 - 4/3·x3 - 1/8·x2 + 6x                        f '(x) = 5/2·x3 - 4x2 - 1/2·x + 6
bulletf(x) = (3x - 5)·(1 - 2x) = -6x2 + 13x - 5             f '(x) = -12x + 13
bulletf(x) = (4x - 1)2 = 16x2 - 8x + 1                        f '(x) = 32x - 8
bulletf(x) = x3 - x + 1/x2  = x3 - x + x-2                    f '(x) = 3x2 - 1 -2·x-3 =  3x2 - 1 - 2/x3
bulletf(x) = 1/2·x2 + √x =   1/2·x2 + x0,5                      f '(x) = x + 0,5·x-0,5  = x + 1/(2√x)

        home                      Stoff                              zurück                         HA                             top

        Übung: Rechenverfahren Tangente (Normale)

geg.:  f(x) = -¼·x2 + x + 3            ges.:  Gleichung der Tangente an Graph bei xo=-1

Lösung:  f '(x) = -½·x + 1
  1. f(-1) = -¼·(-1)2 + (-1) + 3 = 1,75   Po(-1|1,75) 
  2. f '(-1) =  -½·(-1) + 1 = 1,5  =  mt
  3. y - 1,75  =  1,5 · (x - (-1))     y - 1,75 = 1,5x + 1,5

Gleichung der Tangente:  y = 1,5x + 3,25

Aufgabe:  Welchen Steigungswinkel hat der Graph Gf der Funktion f mit der Gleichung f(x) = x3 - 3x an den Stellen  xo = -1 und xo = 2?

Lösung: f '(x) = 3x2 - 3    

f '(-1) = 3·(-1)2 - 3 = 0 = mt = tanα     α = 0

f '(2) = 3·22 - 3 = 9 = mt = tanα     α = 83,7°

 

Aufgabe:  An welchen Stellen hat der Graph Gf der Funktion f mit der Gleichung f(x) = ½x4 - ½x2 den Steigungs- winkel 45°?

Lösung: f '(x) = 2x3 - x    aus α = 45,0°  folgt  tanα = 1

f '(x) =  mt = tanα             2x3 - x = 1

                                      0  =  2x3 - x - 1

 mittels Polynomdivision:   0  =  (x - 1) · (2x2 + 2x + 1)

                                             x = 1          keine Lsg.

Aufgabe:  Unter welchem Winkel schneiden sich die Graphen der Funktionen f und g mit den Gleichungen f(x) = x2-1 und g(x) = x2 - 2x + 4?

Lösung:            f(x) = g(x)   liefert Schnittstellen

                      x2-1 = x2 - 2x + 4

                         2x = 5

                         xS = 2,5     S(2,5|4,25)

f '(x) = 2x  f '(2,5) = 5       g '(x) = 2x - 2      g' (2,5) = 3

                    α = 78,7°         β = 71,6°

                                       φ = 7,1°

Aufgabe:  Prüfen Sie, ob sich die Graphen der Funktionen f  und  g  mit  den  Gleichungen  f(x) = x2 - x - 4/3   und g(x) = x3 - x  in einem Punkt berühren!

Lösung:            f(x) = g(x)   liefert Schnittstellen

                      x2 - x - 4/3 = x3 - x

                         0 = x3 - x2 + 4/3 

                         0 = x3 - 3x2 + 4

                         0 = (x + 1) · (x2 - 4x + 4) 

                         xS1 = -1     xS2/3 = 2   

f '(x) = 2x -1    f '(-1) = -3 g '(-1) = 0      g '(x) = x2 - 1

                       f '(2) = 3  = g '(2)  = 3  

Graphen berühren sich im Punkt S(2|2/3)

        home                      Stoff                              zurück                         HA                             top

 

        Übungsaufgaben zur Klausur

1a)    0 = 4x3 + 0x2 - 13x - 6              (x - 2) · (4x2 +8x + 3) = 0     L = {2; -0,5; -1,5}

1b)        0 = x3 - 3x2 - 9x        0 = x·(x2 - 3x - 9)    xN1 = 0    xN2 =√11,25 ≈ 3,354    xN3 =-√11,25

1c)    0 = 9x4 + 35x2 - 4    0 = z2 + 35/9·z - 4/9     z1 = 1/9   z2 = -4     

         daraus folgt:   xN1 = +1/3        xN2 = - 1/3

1d)    0 = 1/4·x3 - 2              2 = 1/4·x3            8 = x3            xN = 2

2a)         lim(D(h)) = lim(2/3·xo-1/3·h) = 2/3·xo = f'(xo)

2b)        lim(10xo - 5h - 2) = 10xo - 2 = f'(xo)

3a)    f(x)  =  2,5x7 - 9x3 + x - 4/x3         f'(x)  = 17,5x6 - 27x2 + 1 + 12/x4

3b)    f(x)  =  6,5x6 - 0,25x3 - 8 + 3/x4   f'(x)  =  39x5 - 0,75x2 - 12/x5

3c)    f(x)  =  7x - 4·3√x                             f'(x)  =  7 - 4/(3·3√x2)

3d)    f(x)  =  5·4√x  + 3                             f'(x)  =  5/(4·4√x3)

3e)    f(x)  =  px2 - 4qx + pq                     f'(x)  =  2px - 4q   (alle anderen Variablen behandelt man wie Zahlen)

3f)    f(x)  =  ax3 - 4a2x2 + 3a3x - a       f'(x)  =  3ax2 - 8a2x + 3a3

4)    f(x)  = - 0,5x3 + x2 + 2x

  a)    0  =  x·(-0,5x2 + x + 2)        xN1 = 0    xN2  =  1-√5 -1,24   xN2  =  1-√5 ≈ 3,24

  b)    f'(x) = -1,5x2 + 2x + 2

  c)    -1,5  =  -1,5xo2 + 2xo + 2       0  =  -1,5xo2 + 2xo + 3,5     0  =  xo2 - 4/3·xo - 7/3    xo1 = -1      xo2  =  7/3

  d)    

x -2 -1,5 -1 -0,5 0 0,5 1 1,5 2 2,5 3 3,5
y 4 0,9375 -0,5 -0,6875 0 1,1875 2,5 3,5625 4 3,4375 1,5 -2,1875

e)     f(1) = -0,5·13 + 12 + 2·1  =  2,5        Po(1|2,5)

        f'(1)  =  -1,5·12 + 2·1 + 2  =  2,5  =  mt

       y - yo  =  mt·(x - xo)        y - 2,5  =  2,5·(x - 1)        y - 2,5  =  2,5x - 2,5        y  =  2,5x

       home                      Stoff                              zurück                         HA                             top

      Übung: Anwendung zur Steigung

LB.S.41 Nr.16

 f(x) = a·x2 + c  mit      P1(85|0)     P2(0|69)

I  f(85) = 0        0 = a·852 + c                       a = -69/7225                

II f(0) = 69       69 = a·02 + c      c = 69

f(x) = -69/7225·x2 + 69          f '(x) = -138/7225·x 

f'(85) = -138/85 = mt 

mN = -1/mt = 85/138 ≈ 0,616 = tanα          α = 31,65°

LB.S.42 Nr.18     Übung zur Klausur

f(x) = 1/1200·x2 + 1/6·x       f '(x) = 1/600·x + 1/6

Q ist der Scheitelpunkt von f   Q = S(-100|-25/3)   und   P(120|32)

Höhenunterschied h = yP - yQ = 32 - (-25/3) = 121/3

mittlere Steigungswinkel: ms = (121/3)/220=11/60=tanα   α=10,4°

maximaler Steigungswinkel: mt = f'(120)=11/30=tanα    αmax=20,1°

      home                      Stoff                              zurück                         HA                             top

      Übung: Produkt-, Quotienten- und Kettenregel

LB.S.60 Übung 9

  1. f(x) = (x²+3)·(x³-5)   f ’(x) = 2x·(x³-5)+(x²+3)·3x² = 2x4 – 10x + 3x4 + 9x² = 5x4 + 9x² - 10x

  2. f(x) = x·√x                    f ’(x) = 1·√x + x· =  =  

  3. f(x) = (1-x²)·(1+x²)   f ’(x)= -2x·(1+x²)+(1-x²)·2x = -2x – 2x³ +2x -2x³= -4x³

  4. f(x) = x³·√x                  f ’(x) = 3x²·√x + x³·  =  =  

  5. f(x) =                   f ’(x) = =

 

LB.S.63 Übung 12

  1. f(x) = (1 - x)4                           f ’(x) = 4(1 – x)3 · (-1)  = -4(1 – x)3  

  2. f(x) =                             f ’(x) = · (-2)=   

  3. f(x) = = (5x – 2)-1         f ’(x)= -1(5x - 2)-2 · 5 = -5·(5x – 2)-2=  
  4. f(x) = (1 + x²)2                         f ’(x) = 2(1 + x²) · 2x = 4x(1 + x²) = 4x + 4x³
  5. f(x) = = (x ½)-1                  f ’(x) = -1(x ½)-2 · =
  6. f(x) =                                  f ’(x) =

            home                      Stoff                              zurück                         HA                             top

 

      Übung: Zusammenhang zwischen erster Ableitung und dem Monotonieverhalten von f

Aufgabe: Untersuchen Sie den Graph der Funktion f mit der Gleichung:  f(x) =   auf Monotonie!    Übung zur Klausur

                                  S(1|-1,5)

    0 = x2 - 2x - 3       x1 = -1  x2 = 3

die Lage der Nullstellen und des Scheitelpunktes von f ' lässt eindeutig auf das Vorzeichen der ersten Ableitungsfunktion schließen

für  - ∞ < x < -1    gilt: f '(x) > 0       f(x)  monoton steigend

für   - 1 < x < 3     gilt: f '(x) < 0       f(x) monoton fallend

für     3 < x < ∞    gilt:  f '(x) > 0      f(x) monoton steigend

der Graph von f ändert bei x = -1 seine Monotonie von steigend auf fallend und bei x = 3 von  fallend auf  steigend

f hat bei x = -1 einen lokalen Hochpunkt und bei x = 3 einen lokalen Tiefpunkt

          home                      Stoff                              zurück                         HA                             top

Übung: Zusammenhang zwischen zweiter Ableitung und dem Krümmungsverhalten von f

f(x) = -1/3·x3 - 3/2·x

1. f '(x) = -x2 + 3·x       

f ''(x) = -2·x + 3

2.      0 = -2·x + 3

    2x = 3

bei  x = 3/2  könnte sich das Krümmungsver- halten von Gf ändern

3.

- ∞ < x < 1,5

1,5  < x < ∞

4.

f ''(1) = 1 > 0           Gf ist im Intervall linksgekrümmt

f ''(2) = -1 < 0           Gf ist im Intervall rechtsgekrümmt

5. der Graph ändert bei x=1,5 seine Krümmung, er hat also bei x = 1,5 einen Wendepunkt f(1,5) = 2,25  also ist  W(1,5|2,25)

        home                      Stoff                              zurück                         HA                             top

        Übung: Rechenverfahren Extrempunkte

f(x) = 0,25·x4 - 2·x2 + 1,75

1. f '(x) = x3 - 4·x       

f ''(x) = 3·x2 - 4

2. 0 = x3 - 4·x 

0 = x·(x2 - 4)

xE1 = -2     xE2 = 0   und    xE3 = 2  sind mögliche Extremstellen von f

3. f ''(-2) = 8 > 0 also bei xE=-2  TP

f ''(0) = -4 < 0 also bei xE=0   HP

f ''(2) = 8 > 0  also bei xE=2   TP

4. f(-2) = -2,25  damit T(-2|-2,25)

f(0) = 1,75    damit H(0|1,75)

f(2) = -2,25   damit T(2|-2,25)

LB.S.83 Übung 3a

f(x) = 2·x2 + 3·x - 5

1. f '(x) = 4x + 3      

f ''(x) =  4

2. 0 =  4·x + 3

4x = -3

xE = -3/4  ist mögliche Extrem- stelle von f

3. f ''(-3/4)=4>0 also bei xE=-3/4  TP
4. f(-3/4) = -49/8 = -6,125  damit T(-0,75|-6,125) ist Scheitelpunkt

LB.S.83 Übung 3b

f(x) = x3 - 12·x + 11

1. f '(x) = 3x2 - 12     

f ''(x) = 6·x

2. 0 = 3x2 - 12 

x2 = 4

xE1 = -2  und    xE2 = 2  sind mögliche Extremstellen von f

3. f ''(-2) = -12 < 0 also bei xE=-2  HP

f ''(2) = 12 > 0  also bei xE=2   TP

4. f(-2) = 27  damit H(-2|27)

f(2) = -5   damit T(2|-5)

 

        home                      Stoff                              zurück                         HA                             top

        Übung: Rechenverfahren Wendepunkte

 

        home                      Stoff                              zurück                         HA                             top

        Übung: Kurvendiskussion ganzrationaler Funktionen

 f(x) = x4 + 2x3
bulletf '(x) = 4x3  + 6x2
bulletf ''(x) = 12x2 + 12x 
bulletf '''(x) = 24x + 12
f(x) = ¼·x4 - ·x3 - x2
bulletf '(x) = x3  - x2 - 2x
bulletf ''(x) = 3x2 - 2x - 2 
bulletf '''(x) = 6x - 2
  1.DB = R 1.DB = R
 2.  Symmetrie:

       f(-x) = (-x)4 + 2(-x)3 = x4 - 2 x3

       f(x) = x4 + 2 x3       -f(x) = -x4 - 2 x3

bulletf(-x) ≠  f(x)  nicht axialsymmetrisch zur y-Achse
bulletf(-x) ≠  -f(x)  nicht zentralsymmetrisch zum KU 
2.  Symmetrie:

       f(-x) = ¼·(-x)4 - ·(-x)3 - (-x)2 = ¼·x4 + ·x3 - x2

       f(x) = ¼·x4 - ·x3 - x2   -f(x) =- ¼·x4 + ·x3 + x2

bulletf(-x) ≠  f(x)  nicht axialsymmetrisch zur y-Achse
bulletf(-x) ≠  -f(x)  nicht zentralsymmetrisch zum KU 
  3. Nullstellen:

     0 = x4 + 2x3 

    0 = x3 ·(x + 2)

    xN1/2/3 = 0     x + 2= 0  

                         xN4 = -2         

Die dreifache Nullstelle ist schon ein erstes Indiz für die spätere Sattelpunktstelle xS = 0                

 3. Nullstellen:

     0 = ¼·x4 - ·x3 - x2 /·4

    0 = x4 - 4/3·x3 - 4x 

    0 = x2 · (x2 - 4/3·x - 4)

    xN1/2 = 0     x2 - 4/3· x - 4 = 0  

                xN3/4 = 2/3 ± √(4/9+4)     

               xN3 = (2-40)/3         xN3 = (2+√40)/3     

  4. Extrempunkte:

  f '(x) = 0 = 4x3  + 6x2 

            0 = 2x2 · (2x  + 3) 

xE1/2 = 0   f ''(0) = 0 ? zunächst keine Entscheidung

xE3 = -3/2  f ''(-3/2) = 9>0 f(-3/2) =-1,69  T(-1,5|- 1,7)

4. Extrempunkte:

  f '(x) = 0 = x3  - x2 - 2x

            0 = x · (x2  - x - 2)

   xE1 = 0        xE2/3 = 0,5 ± √(0,25+2)      f ''(0)=-2   H(0|0)

         xE2 = -1   f ''(-1) = 3 > 0  f(-1) = -5/12   T1(-1|-5/12)

          xE3 = 2   f ''(2) = 6 > 0   f(2) = -8/3   T2(2|-8/3)

  5. Wendepunkte:

  f ''(x) = 0 = 12x2 + 12x  

             0 = 12x · (x + 1) 

     xW1 = -1  f '''(-1) = -12 0  f(-1) = -1 W1(-1|-1)   

     xW2 = 0   f '''(0) = 1 2 0    f(0) = 0   W2(0|0)

       W2 ist gleichzeitig Sattelpunkt S(0|0)

5. Wendepunkte:

  f ''(x) = 0 = 3x2 - 2x - 2 /:3

              0 = x2 - 2/3·x - 2/3

               xW1/2 = 1/3 ± √(1/9+2/3)     

xW1=(1+√7)/f'''(1,22)=5,30 f(1,22)=-1,53 W1(1,2|-1,5) 

xW2=(1-√7)/f'''(-0,55)=-5,30 f(-0,55)=-0,22W(-0,6|-0,2)

  6. Verhalten im Unendlichen:                                     Graph strebt sowohl am linken wie am rechten Rand nach oben                       ähnlich  wie bei g(x) = x4 6. Verhalten im Unendlichen:

Graph strebt sowohl am linken wie am rechten Rand nach oben ähnlich  g(x) = x4

  7. Wertetabelle:      x      -2,5      0,5      1     1,5

                                     y      7,81    0,31     3    11,81

7. Wertetabelle:      x     -2    -1,5      0,5      3     3,5

                                  y     2,67  0,14   -0,28   2,25  10,97   

  8. graphische Darstellung:

 

8. graphische Darstellung:

 

        home                      Stoff                              zurück                         HA                             top

        Übung: Kurvenscharen ganzrationaler Funktionen

 

        home                      Stoff                              zurück                         HA                             top

        Übung: Rekursionsaufgaben zu ganzrationalen Funktionen

 

        home                      Stoff                              zurück                         HA                             top

        Übung: Extremwertaufgaben mit ganzrationalen Funktionen

 

        home                      Stoff                              zurück                         HA                             top

 

        Übungen - Mathematik   Klasse 12-II GK

        Übung: Einführung in die Integralrechnung

 

        home                      Stoff                              zurück                         HA                             top

        Übung: Die Streifenmethode

Flächenberechnung (Untersumme)

sn =

sn = ·( 0³ + 1³ + 2³ + ... + (n-1)³ )

sn =

 

< A0a <

 

< A0a <

 

< A0a <

Flächenberechnung (Obersumme)

Sn =  

Sn = ·( 1³ + 2³ + 3³ + ... + n³ )

Sn =

explizite Bildungsvorschrift

sn =

sn =

sn =

sn =

 

< A0a <

 

< A0a <

  

< A0a <

 

< A0a <

explizite Bildungsvorschrift

Sn =  

Sn =

Sn =

Sn =

Grenzwert der Untersumme

 

< A0a <

 

< A0a <

 

< A0a <

 

< A0a <

Grenzwert der Obersumme

Da beide Grenzwerte übereinstimmen und den gesuchten Flächeninhalt ein-schließen, ist mit den Mitteln der Integralrechnung gezeigt, dass die vom Graphen der Funktion f(x) = x² und der x-Achse im Intervall I[0|a] einge-schlossene Fläche den Flächeninhalt ¼·a4 (FE) besitzt.

A01 = ¼·14 = ¼ (FE)                A02 = ¼·24 = 4(FE)                  A03 = ¼·34 = 81/4(FE)

A14 = A04 – A01 = ¼·44 - ¼·14 = 64 - ¼ = 63¼(FE)        

        home                      Stoff                              zurück                         HA                             top

        Übung: Verallgemeinerung der Streifenmethode - Riemannsches Integral

                  =

                  =    

                 =  

                 =  

                 =

       =  

=

       =  

           =  = 3 – 3 = 0

         =   = 124 - 8 = 116  

           = = 45 + 5 = 50

 

        home                      Stoff                              zurück                         HA                             top

        Übung: Regeln zum Aufsuchen von Stammfunktionen

LB.S.28 Nr.2

  1. f(x) = 2x3    F(x) = ½x4+2                         ist Stammfunktion von f, weil F'(x) = ½·4x3 + 0 = 2x3 = f(x)
  2. f(x) = 4x    F(x) = 8/3·x3/2+C             ist Stammfunktion von f, weil F'(x) = 8/3·3/2x1/2 + 0 = 8/x1/2 = 4x = f(x)
  3. f(x) = 2x-6/x2=2x-6·x-2   F(x) = x2+6/x+1    ist Stammfunktion von f, weil F'(x) = 2x+6·(-1)x-2+0 = 2x-6/x = f(x)
  4. f(x) = 8x+4   F(x) = (2x+1)2 =4x2+4x+1      ist Stammfunktion von f, weil F'(x) = 4·2x + 4 = 8x+4 = f(x)

LB.S.28 Nr.4

  1. ∫(2x+1)2dx    = (2x+1)3·½ + c = 1/6·(2x+1)3  + c 
  2. ∫(½x+1)2dx    = (½x+1)3·2 + c = 2/3·(½x+1)3  + c
  3. ∫(1/(3x+2)2)dx = ∫(3x+2)-2dx = -1·(3x+2)-1· + c = -⅓·(1/(3x+2))  + c  = -1/(3(3x+2)) + c  =  -1/(9x+6)
  4. ∫2√(2x+1)dx    =  ∫2·(2x+1)½dx = 2/3(2x+1)3/2·½ + c = 2/3·((2x+1)3)  + c

LB.S.28 Nr.5

  1. F(x) = 2x4 - 3x + 2   ist eine Stammfunktion von   f(x) = 8x3 - 3, denn F'(x) = f(x)
  2. F(x) = (x - 2)2 = x2 -4x + 4   ist eine Stammfunktion von   f(x) = 2x - 4, denn F'(x) = f(x)
  3. F(x) = 2x2+4x+x3+C   ist keine Stammfunktion von   f(x) = (x+2)2 = x2+4x+4, denn F'(x) ist nicht gleich f(x)   Fehler im doppelten Produkt der binomischen Formel
  4. F(x) = x3 - 3/2x4 - 2   ist eine Stammfunktion von   f(x) = 3(x2 - 2x3), denn F'(x) = f(x)
  5. F(x) = x2 + 1/x + C   ist eine Stammfunktion von   f(x) = 2x - 1/x2, denn F'(x) = f(x)
  6. F(x) = ½x2 + 3x   ist eine Stammfunktion von   f(x) = (x2-9/(x-3) = x+3, denn F'(x) = f(x)

        home                      Stoff                              zurück                         HA                             top

        Übung: Hauptsatz der Integral- und Differentialrechnung

                  =

                  =  

                 =

                 =

                 =

       =

=

       =

           =

           = = (7² + 7) – (2² + 2)  = 56 – 6 = 50

         =  = 125 – 10 – (1 - 2) =  115 – (-1)  =  116

              =

=

        home                      Stoff                              zurück                         HA                             top

        Übung: Fläche zwischen Funktionsgraph und Abszissenachse

altes LB.S.115 Übung 1

a) S(0|1) Parabel nach oben geöffnet; 

Fläche vollständig über der x-Achse;    

A = = = 12 -

A = 32/3 (FE)

b) S(1|-1) Parabel nach oben geöffnet; xN1 = 0  xN2 = 2; 

Fläche vollständig unter der x-Achse;

A = =  

A = 4/3 (FE)

c) S(0|1) Parabel nach unten geöffnet; xN1 = -1  xN2 = 1; 

Fläche vollständig über der x-Achse;    

A = = =

A = 4/3 (FE)

d) S(½|2,25) Parabel nach unten geöffnet; xN1 = -1  xN2 = 2; 

Fläche vollständig über der x-Achse;    

A = = 0 -

A = 7/6 (FE)

Berechnen Sie die Maßzahl des Flächeninhaltes der Fläche, welche vom Graphen der Funktion f mit der Gleichung :  f(x) = x² - 5x + 4  , der x-Achse sowie den senkrechten Geraden x1 = 0 und x2 = 4 eingeschlos- sen wird!

A = A1  +  A2  =

A = =

A =

Berechnen Sie die Maßzahl des Flächeninhaltes der Fläche, welche vom Graphen der Funktion f mit der Gleichung :  f(x) = -x4 + 7x2 + 18  und der x-Achse  eingeschlossen wird!

A = = =

A =

       home                      Stoff                              zurück                         HA                             top

        Übung: Fläche zwischen zwei Funktionsgraphen

 

       home                      Stoff                              zurück                         HA                             top

        Übung: Rotationsvolumina

 

       home                      Stoff                              zurück                         HA                             top

        Übung: Wiederholung - Exponentialfunktionen

 

       home                      Stoff                              zurück                         HA                             top

        Übung: Die Funktionen f(x) = ex  und  f(x) = lnx

 

       home                      Stoff                              zurück                         HA                             top

        Übung: Anwendungsaufgaben - unbegrenztes Wachstum (Zerfall)

 

       home                      Stoff                              zurück                         HA                             top

        Übung: Anwendungsaufgaben - begrenztes Wachstum (Zerfall)

 

       home                      Stoff                              zurück                         HA                             top

        Übung: Ableitung und Stammfunktion von Exponentialfunktionen

  1. f(x)  =  6,5· 4 x                            f ’(x) =  6,5· ln 4 · 4 x  
  2. f(x)  =  0,5· e x                            f ’(x) =  0,5· e x         
  3. f(x)  =  x² · e x                               f ’(x) =  (x² + 2x) · e x

  4. f(x)  =  x² · 3 x                            f ’(x) =  (x² · ln 3 + 2x) · 3 x

  5. f(x)  =  e 3x – 1                             f ’(x) =  3 · e 3x – 1

  6. f(x)  =  5                                  f ’(x) =  2x · ln 5 · 5

  7. f(x)  =  (1 – x²) · e –x                     f ’(x) =  (x² - 2x - 1) · e –x

  8. f(x)  =  0,6 · 2 3 – 2x²                   f ’(x) =  -2,4x · ln 2 · 2 3 – 2x²

  9. f(x)  =  x · e 0,2x                          f ’(x) =  (0,2x + 1) · e 0,2x

  10. f(x)  =  (x² - 1) · 2 –x                  f ’(x) =  (-x² · ln 2 + 2x + ln 2) · 2 –x

  11. f(x) = (2x·ln3 – 5) · 3 2x             f ’(x) = (4x·(ln3)²+ 2ln3 10ln3) · 3 2x  = (4x·(ln3)² 8ln3) · 3 2x
  12. f(x)  =  (2x – 7) · e                  f ’(x) =  (6x³ - 21x² + 2) · e

  13. ft(x)  =  x · e tx                             f ’(x) =  (tx + 1) · e tx

  14. fa(x)  =  (x – a) · e ax²                  f ’(x) =  (2ax² - 2a²x + 1) · e ax²

  15. fb(x)  =  (x² - b) · e –bx               f ’(x) =  (-bx² + 2x + b²) · e –bx

       home                      Stoff                              zurück                         HA                             top

        Übung - Kurvendiskussion und Flächenberechnung bei Exponentialfunktionen

       home                      Stoff                              zurück                         HA                             top

        Übung - Kurvenscharen von Exponentialfunktionen

       home                      Stoff                              zurück                         HA                             top

        Übung zur LK - Exponentialfunktionen

  1. Bilden Sie die ersten beiden Ableitungen der folgenden Funktionen!

a)  f(x) = 0,5·1,5x    f '(x) = 0,5·1,5x·ln1,5 = 0,5ln1,5·1,5x         f ''(x) = 0.5·ln1.5·1,5x·ln1,5 = 0,5(ln1,5)·1,5x

b)  f(x) = x3·ex        f '(x) = 3x2·ex + x3·ex = (x3+3x2)·ex           f ''(x) = (3x2+6x)·ex + (x3+3x2)·ex = (x3+6x2+6x)·ex

c)  fa(x)=(2x-a)·eax  fa'(x)=2·eax +(2x-a)·eax·a =(2ax+2-a2)·eax  fa''(x) = 2a·eax +(2ax+2-a2)·eax·a = (2a2x+4a-a3)·eax

2.  Weisen Sie nach, dass der Graph der Funktion f mit der Gleichung:  f(x) = 3x·e-x² zentralsymmetrisch zum Koordinatenursprung ist!

f(-x) = 3·(-xe-(-x= -3x·e-x² = - f(x), woraus folgt, dass f zentralsymmetrisch zum Koordinatenursprung ist

3.  Berechnen Sie die Koordinaten der Wendepunkte der Funktion f mit der Gleichung:  f(x) = (x2-1)·e-0,5x !  

    f '(x) = (-½x2+2x+½)·e-0,5x    f ''(x) = (¼x2-2x+1,75)·e-0,5x    f '''(x) = (-⅛x2+1,5x - 2,875)·e-0,5x

                                                0 =  ¼x2-2x+1,75                f '''(1) = -0,91  ≠ 0

                                                0 = x2-8x+7                        f '''(7) = 0,04 ≠ 0

                                                xW1 = 1        xW2 = 7            f(1) = 0·e-0,5x = 0

                                W1(1|0)            W2(7|1,45)                   f(7) = 48·e-3,5 ≈ 1,45

4.  

 

Weisen Sie nach, dass die Funktionenschar fa(x) mit der Gleichung:  fa(x) = 3x · e ax   (a > 0) im Punkt E einen Extrempunkt hat! Weisen Sie die Art des Extremas nach und ermitteln Sie die Gleichung der Ortskurve aller Extrema!

        fa'(x) = (3ax+3)·eax    fa''(x) = (3a2x+6a)·eax    

        0 = 3ax + 3                fa''( ) = (-3a+6a)·e-1 = 3a·e-1 > 0   (für a >0)    es liegt ein Minimum vor

        0 = ax + 1                fa( ) = 3· () ·e-1

            xE                        T

Ortskurve:    xE             a =  

                            yE=     =             Gleichung der Ortskurve:   y  =  · x

       home                      Stoff                              zurück                         HA                             top

 

        Übungen - Mathematik   Klasse 13-I GK

        Übung: Wiederholung - Lösen von Gleichungssystemen        

  I     2x - 4y + 2z  = 7            I    2x - 4y + 2z  = 7      |      I     3x -  5y - 2z  = 10            I   3x -  5y - 2z  = 10

 II    4x + 2y - 3z  = -3         II          10y - 7z  = -17   |      II    2x + 8y - 5z  = 6           II    - 14y + 11z  = 2

 III -6x - 3y + 4z  = 4         III                  -  z  =  -1    |      III   4x - 2y + z  =  8           III                      0 = 18

D=-10   D1=-5  D2=-10  D3=10     L={[½|-1|1]}    |       D=0   D1=54  D2=-66  D3=-84       L = Ø

       home                   Stoff                                 zurück                        HA                          top

        Übung: Einführung in die Vektorrechnung        

        home                   Stoff                                 zurück                        HA                          top

        Übung: Relationen und Rechenoperationen zwischen Vektoren        

AB "Einführung in die Vektorrechnung" Nr.2

bulletVektorpaare die zueinander gleichgerichtet sind:  NO und CD; BA und FE; LM und GH
bulletVektorpaare die gleich sind:  NO = CD; BA = FE; 
bulletVektorpaare die zueinander entgegengesetzt gerichtet sind:  JK und FE; JK und BA; CD und QP; NO und QP
bulletVektorpaare die zueinander entgegengesetzt sind:  JK = -FE; JK = -BA

AB "Einführung in die Vektorrechnung" Nr.3

bulletb + c - a  = FG = ED = ...
bulletAD + DC + CF  = AF = BG = ...
bulletFE - 2·c + FE  = FC = HO = ...
bulleta + ½·b + c = AD = BM = ...
bulletJM - BC + FC  = JK = OT = ...
bulletb - JT + c = FF = BB = ... der Nullvektor!!!

        home                   Stoff                                 zurück                        HA                          top

        Übung: Vektorraum, Basis, Komponenten, Koordinaten        

 AB "Einführung in die Vektorrechnung" Nr.4b

bulletAF =   2·a + 1·b                                                
bulletBD = -2·a  - 2·b                                                
bulletGE =  0·a  - 2·b                                                
bulletHB =  2·a  - 1·b                                                
bulletAC =  2·a  + 2·b                                                
bulletGF =  1·a   - 1·b                                                
bulletFM = -1·a  + 0·b                                                
bulletEC =  1·a  + 2·b                                                

AB " Rechnen mit Vektoren" Nr.3

bulletAM2   =  1·a + ½·b
bulletBM4   = -1·a + ½·b
bulletCM    = ·a - ½·b
bulletMM1  =   0·a - ½·b
bulletM3M4 = ·a - ½·b
bulletDB    =   1·a -  1·b

       home                   Stoff                                 zurück                        HA                          top

        Übung: Rechnen mit Vektoren in Koordinatenschreibweise        

Aufgabe:  Stellen Sie den Vektor als Linearkombination der Vektoren , und dar!

aus folgt und daraus  L = {[-0,3|5,3|2,4]}

        home                   Stoff                                 zurück                        HA                          top

        Übung: Lineare Unabhängigkeit von Vektoren; kollineare, komplanare Vektoren        

LB.S.29 Nr.1a,b

  1. und sind kollinear, weil =-½·oder = -2 ·                      
  2. und sind nicht kollinear, weil es keinen einheitlichen Vervielfachungsfaktor gibt  

Aufgabe:  Prüfen Sie, ob die Vektoren , und komplanar sind!   woraus folgt: 

bulletdas dahinter steckende homogene Gleichungssystem hat eine eindeutige (nur die triviale) Lösung 
bulletdie Vektoren  , und sind linear unabhängig
bullet die Vektoren  , und sind nicht komplanar und liegen damit nicht in einer Ebene; wären dafür aber als Basisvektoren des R3 geeignet; jeder dreidimensionale Vektor muss sich aus ihnen eindeutig linear kombinieren lassen

LB.S.31 Nr.11a,b,c

   a.  D = 0

bulletdas dahinter steckende homogene Gleichungssystem hat mehr als nur die triviale (nämlich unendlich viele) Lösung
bulletdie Vektoren  , und sind linear abhängig
bullet die Vektoren  , und sind komplanar und liegen damit in einer Ebene

   b.  D = 1    die Vektoren  , und sind linear abhängig, also komplanar

   c.  D = 0    die Vektoren  , und sind linear unabhängig, also nicht komplanar

        home                   Stoff                                 zurück                        HA                          top

        Übung: Berechnen von Punktkoordinaten        

Aufgabe:

Gegeben seien drei Punkte A, B und C mittels ihrer Koordinaten  A(4|6|1) , B(3|5|-2) und C(-2|-2|4).   Berechnen Sie die Koordinaten eines vierten Punktes D so, dass das Viereck ABCD ein Parallelogramm wird!

                  oder        also  D(-1|-1|7)

                                       

Aufgabe:

Gegeben seien drei Punkte A, B und M mittels ihrer Koordinaten  A(-2|5|3) , B(4|-1|2) und M(1|2|5). Berechnen Sie die Koordinaten der Punkte C und D derart, dass das Viereck ABCD ein Parallelogramm wird und der Punkt M der Schnittpunkt seiner Diagonalen ist.

   oder    

                also C(4|-1|7)                    also D(-2|5|8)

        home                   Stoff                                 zurück                        HA                          top

        Übung: Vektorielle Geradengleichungen        

LB.S.68 Nr.8

  1. Gerade gAB:         b.    Gerade gAB:         c.     Gerade gAB:   

Aufgabe:

 

        home                   Stoff                                 zurück                        HA                          top

        Übung: Lagebeziehung zwischen Punkt und Gerade       

LB.S.70 Nr.1

  1.                 verschiedene Parameterwerte r (1;-2;-1)         P gAB 
  2.                 gleicher Parameterwert  r = 2        P gAB
  3.                 verschiedene Parameterwerte r (2;2;-2)         P gAB
  4.                 verschiedene Parameterwerte r (-½;-1/3;Widerspruch)         P gAB

        home                   Stoff                                 zurück                        HA                          top

        Übung: Lagebeziehung zwischen Gerade und Koordinatenebene        

LB.S.70 Nr.2

I    x = 1 + 3r          x = 3   II   y = 6 - 3r          y = 4  III  0 = 4 - 6r     r = 2/3

Dxy(3|4|0)

I    x = -2 + 5r     x = -14,5  II   y = 1 + r        y = -3/2  III  0 = 5 + 2r   r = -5/2 Dxy(-14,5|-1,5|0)
I    x = 4 + 3r          x =    II   y = 2 + 3r          y =   III  0 = 3      Widerspruch Gerade verläuft parallel zu x-y-Koordinatenebene, deshalb gibt es keinen Spurpunkt der Gerade mit dieser Ebene

Aufgabe: Prüfen Sie, ob die Gerade h  mit der Gleichung:   eine der Koordinatenachsen schneidet! Überlegen Sie sich vorher die besondere Eigenschaft aller Punkte, die auf einer Koordinatenachse liegen.

x-Achse:        y-Achse:      z-Achse:     
I    s = 6+4r             II  0 = 2+4r   r = -½ III 0 = 3+2r  r =-2/3 

Widerspruch

I   0 = 6+4r r =-1,5 II   t = 2+4r   t = -4 III 0 = 3+2r r =-1,5

      S(0|-4|0)

I  0 = 6+4r   r = -1,5 II 0 = 2+4r   r = -½ III l = 3+2r

Widerspruch

           home                   Stoff                                 zurück                        HA                          top

        Übung: Lagebeziehung zwischen zwei Geraden       

Aufgabe: 

Untersuchen Sie die Lagebeziehung zwischen den Geraden  g:   und Gerade h: !

Vektorbetrachtungen

Gleichungssystem

bullet

Richtungsvektoren  nicht kollinear

bulletVerbindungsvektor  ist zu Richtungsvektoren komplanar, weil D = 0

 

I     8 +  t = 4                  I        t         = -4

II  12 +2t = 12 – 6s          II     2t +  6s  = 0

III       -4t =      12s          III  –4t – 12s = 0

II      6s +  2t  = 0

III   –12s – 4t  = 0

I                 t  = -4

II       6s +  2t  = 0      s = 4/3

III               0  = 0

I                 t  = -4   L = {[4/3|-4]}  eindeutige Lösung

Geraden g und h schneiden sich in einem Punkt S     also S(4|4|16)

Aufgabe: 

Untersuchen Sie die Lagebeziehung zwischen den Geraden g:         und h: !

Vektorbetrachtungen

Gleichungssystem

bullet

Richtungsvektoren  kollinear  ( )

bulletVerbindungsvektor  ist zu Richtungsvektoren nicht kollinear
I           2t =       - s

II     1 - 4t = 3 + 2s

III   2 + 4t = 5 -  2s

I     2t  +  s  = 0

II   -4t  - 2s  = 2

III   4t + 2s  = 3

I       2t  +  s  = 0     

II              0  = 2   Widerspruch

III             0  = 3        L = Ø                                

Geraden g und h liegen echt parallel

Aufgabe: 

Untersuchen Sie die Lagebeziehung zwischen den Geraden g:      und  h: !

Vektorbetrachtungen Gleichungssystem
bullet

Richtungsvektoren  nicht kollinear

bulletVerbindungsvektor  ist zu Richtungsvektoren nicht komplanar, weil D = -144
I          t = 8 + 5s

II  12     =       6s

III  0      =    -12s

I       t  -  5s  = 8

II           -6s  = -12           s = 2

III         12s  = 0              s = 0    L = Ø                             

Geraden g und h liegen windschief zueinander

Aufgabe: 

Untersuchen Sie die Lagebeziehung zwischen den Geraden g (durch die Punkte A(0|1|2) und B(3|1|3)) und  h (durch die Punkte C(3|2|1) und D(0|3|-2))!

Gerade g:                     Gerade h:

Vektorbetrachtungen Gleichungssystem
bullet

Richtungsvektoren  nicht kollinear 

bulletVerbindungsvektor  ist zu Richtungsvektoren komplanar, weil D = 0

 

I           3t = 3 - 3s

II     1       = 2 + s

III    2 + t = 1 -  3s

I     3t  + 3s  = 3

III    t  + 3s  = -1

II           - s  =  1

I       3t  + 3s  = 3                 t = 2

II            -6s  = 6          s = -1       L = {[2|-1]}

II             - s  = 1          s = -1   eindeutige Lösung       

Geraden g und h schneiden sich im Punkt S            also S(6|1|4)

        home                   Stoff                                 zurück                        HA                          top

        Übung: Geradenscharen       

 

        home                   Stoff                                 zurück                        HA                          top

        Übung: Ebenengleichung in Parameterform        

Aufgabe: Eine Ebene E sei definiert durch die Geraden g:      und h:  .Prüfen Sie deren Lagebeziehung und stellen sie  - falls möglich - die Gleichung der Ebene E auf!

I    3 + 2r = 7 + s        I    2r -   s   = 4        I    2r - s = 4        I    2r - s = 4        r = 2

II       5r  = 10 -10s     II   5r + 10s = 10      II      25s = 0        II        s = 0

III   7 + r = 9 + s        III    r -  s   = 2        III        s = 0        III       s = 0

Gerade g schneidet Gerade h im Punkt S(7|10|9)        d.h. beide Geraden definieren eine Ebene E eindeutig

Ebene E:     

Aufgabe:  Eine Ebene E sei definiert durch die Geraden g:      und h:    .Prüfen Sie deren Lagebeziehung und stellen sie  - falls möglich - die Gleichung der Ebene E auf!

I    18 + 2s = 14 - 8t        I   2s + 8t = -4        I    2s + 8t = -4        

II     2 -   s = 1 +4t         II   -s -  4t = -1        II           0 = -6        

III    6       = 4               III        0   = -2        III          0 = -2        Widerspruch

Gerade g und Gerade h haben keine gemeinsamen Punkte; sie könnte echt parallel aber auch windschief liegen

       also sind die Richtungsvektoren u und v kollinear zueinander; Gerade g und h sind echt parallel zueinander      d.h. beide Geraden definieren eine Ebene E eindeutig

Ebene E:          Verbindungsvektor PQ als zweiten Spannvektor der Ebene benutzen

        home                   Stoff                                 zurück                        HA                          top

        Übung: Lagebeziehung zwischen Ebene (Parameterform), Punkt und Gerade        

LB.S.90 Nr.11

a)        ja, für λ = 1/4  und  μ = 1/2  liegt P in Ebene EABC

b)         nein, der Punkt P(2|6|0) liegt nicht in der Ebene EABC  (Widerspruch in Zeile 3)

Klett LB.S96 Nr.18    Prüfen Sie die Lagebeziehung zwischen g und E mittels Vektorbetrachtung

a)    Gerade g:            Ebene E:   

        Vektoren u, v und w komplanar?    D = = -7 ≠ 0    nein    g schneidet E in S(?|?|?)

        I      7r     -  μ  = 3                

        II     8r + λ      = 3                

        III    6r - λ - 3μ = -1         L ={[1|-5|4]}    g schneidet E in S(5|9|10)

b)    Gerade g:            Ebene E:   

        Vektoren u, v und w komplanar?    D = = 0    ja    

      Vektoren PA, v und w komplanar)    D =   = 0    ja       g liegt in E

c)    Gerade g:            Ebene E:   

        Vektoren u, v und w komplanar?    D = = 0    ja    

      Vektoren PA, v und w komplanar)    D =   = -1 ≠  0    nein       g echt parallel zu E

d)    Gerade g:             Ebene E:   

        Vektoren u, v und w komplanar?    D = = 0    ja    

      Vektoren PA, v und w komplanar)    D =   = -222   0    nein       g echt parallel zu E

Aufgabe:  F.6

In einem kartesischen Koordinatensystem ist eine Ebene E gegeben durch die Punkte A(0|0|-1), B(1|0|1), C(0|1|0) und die Gerade g durch die Gleichung g:    mit a,k,t  R.

  1. Geben Sie eine Gleichung der Ebene E in Parameterform an!
  2. Für welche Parameterwerte t haben E und g genau einen Schnittpunkt?
  3. Bestimmen Sie die Parameterwerte a und t so, dass g  E = g!

zu a)  Ebene E:      

zu b)  Die Gerade g ist in Wirklichkeit eine zweistellige Geradenschar (besteht aus zweimal unendlich vielen einzelnen Geraden). Ihre Lage hängt von den Parametern a und t ab. Ist der Parameter a fest, so handelt es sich um ein Geradenbüschel von unendlich vielen Geraden, die alle durch den Punkt P(-4,5|0|a) verlaufen. Ist der Parameter- wert t fest, so handelt es sich um eine Parallelenschar, die genaue Lage jeder Einzelgerade hängt von der Lage des Punkts P ab. 

Gerade g und Ebene E haben dann genau einen Schnittpunkt, wenn der Richtungsvektor u der Gerade zu den Spannvektoren v und w der Ebene nicht komplanar ist: D =  =2 - (8 + t) = -6 - t 0        t -6 

zu c)  Für den Fall, dass t doch gleich -6 ist, sind die Vektoren u, v und w komplanar, d.h. sie liegen in einer Ebene. Das bedeutet, dass die Ebene E und die Gerade g dann  mindestens parallel zueinander liegen. Ist nun auch noch der Verbindungsvektor AP =  zwischen Gerade und Ebene komplanar zu v und w, so liegt die Gerade in der Ebene: D  =  = a + 1 - (-9) = 0        a = -10        d.h. für t = -6 und a = -10 liegt die Gerade g in der Ebene E

 

        home                   Stoff                                 zurück                        HA                          top

        Übung: Koordinatengleichung einer Ebene - Achsenabschnittsform        

Klett LB.S.88 Nr.22

a)        A1(3|0|0)    A2(0|-2|0)    A3(0|0|6)    

Klett LB.S.88 Nr.23

a)    x1 + x2 - x3 = 3              A1(3|0|0)    A2(0|3|0)    A3(0|0|-3)

b)    6x1 - 3x2 - 2x3 = -5              A1(-5/6|0|0)    A2(0|5/3|0)    A3(0|0|5/2)

        home                   Stoff                                 zurück                        HA                          top

        Übung: Lagebeziehung zwischen Ebene (Koordinatenform), Punkt und Gerade        

Klett LB.S.96 Nr.18

a)   Gerade g      -3x1 + x2 + x3 = 4    -3(-2+7r) + 1+8r + 4+6r = 4     r = 1    S(5|9|10)

b)   Gerade g    17x1+12x2+16x3 = 46   17(10+4r)+12(- 1+r)+16(-7-5r) = 46   0 = 0    g liegt in E

c)   Gerade g          3x1 - 8x2 + 5x3 = -18     3(-3r) - 8(4+2r) + 5(3+5r) = -18     0 = -1    g parallel zu E

d)    Gerade g      -6x1 - 74x2 + 37x3 = -302   -6(1) - 74(1+r) + 37(2r) = -302   -80 = -302   g parallel zu E

        home                   Stoff                                 zurück                        HA                          top

        Übung: Schnittgerade zweier Ebenen

Bsp.:   Bestimmen Sie für die  Ebenen E:    und F:  die Gleichung der Schnittgerade s!

I    2 + 2r +  s =        3λ  - μ         I  2r +  s  - 3λ +  μ = -2      I    2r +  s  - 3 λ +  μ = -2      I   2r +  s  - 3 λ +  μ = -2 II  2        + 2s = 8 +  2λ  + 3μ     II        2s  - 2λ - 3μ = 6       II          2s  - 2 λ - 3μ = 6       II          2s  - 2 λ - 3μ = 6   III 2 +5r  +3s = 4 + 8λ + 2μ     III 5r + 3s - 8λ - 2μ = 2     III          -s + λ + 9μ = -14    III                     15μ = -22

· aus Gleichung III folgt:   15μ = -22    und umgestellt also    μ = -22/15        setzt man dies in die Gleichung der Ebene F ein:  

so lautet eine Gleichung der Schnittgerade s also:           

es geht aber auch anders:

die Ebenen haben folgende Koordinatengleichungen: E:   10x + y - 4z  =  14               F:    20x + 14y - 11z  =  68

Parameterform von E in Koordinatenform von F                        Parameterform von F in Koordinatenform von E

20·(2+2r+s) + 14·(2+2s) - 11·(2+5r+3s)  =  68                        10·(3λ-μ) + (8+2λ+3μ) - 4·(4+8λ+2μ)  =  14

                                              -15r + 15s + 46  =  68                                                                              -15μ - 8  =  14

                                                            s = r + 22/15                                                                                       μ = -22/15

         oder wie oben    

es geht aber noch anders:

I    10x +   y   -   4z  = 14          I  10x + y  - 4z = 14                                        x = 3/8·z + 16/15

II   20x + 14y - 11z = 68         II         12y - 3z = 40        y = 1/4·z + 10/3

L = {[3/8·z + 16/15|1/4·z + 10/3|z]}        wählen nun für z eine andere Variable und schreiben senkrecht:

    die Veränderung des Richtungsvektors ist möglich, weil beide Richtungsvektoren kollinear zueinander sind und somit die Lage der Gerade nicht verändert wird

Klett LB.S.99 Nr.6k

        Ebene E:    4x - 12y + 5z  = 45            Ebene F:    -3x + 7y - 2z  = 15

I    4x - 12y + 5z  = 45          I  4x - 12y + 5z  = 45            4x - 12·(7/8·z-75/8) + 5z = 45    x = 11/8·z - 175/8

II   -3x + 7y - 2z  = 15          II        -8y + 7z  = 75        y = 7/8·z - 75/8

L = {[11/8·z - 175/8|7/8·z - 75/8|z]}

Schnittgerade s:   

        home                   Stoff                                 zurück                        HA                          top

        Übung: Das Skalarprodukt        

        home                   Stoff                                 zurück                        HA                          top

        Übung: Anwendungen des Skalarproduktes

        home                   Stoff                                 zurück                        HA                          top

        Übung: Innenwinkel von Figuren, Schnittwinkel von Geraden        

        home                   Stoff                                 zurück                        HA                          top

        Übung: Besondere Lage von Ebenen

Aufgabe:

        home                   Stoff                                 zurück                        HA                          top

        Übung: Normalenform der Ebenengleichung

Aufgabe:

        home                   Stoff                                 zurück                        HA                          top

        Übung: Schnittwinkel zwischen Ebenen und Gerade

Aufgabe:

        home                   Stoff                                 zurück                        HA                          top

        Übung: Hessesche Normalform der Ebenengleichung

Aufgabe:

        home                   Stoff                                 zurück                        HA                          top

        Übung: Abstand zwischen einem Punkt und einer Ebene

Aufgabe: Berechnen Sie den Abstand des Punkte P(3|1|4) von der Ebene E mit der Gleichung:  2x - 2y + z = 5

    Normalenvektor:                          Hessesche Normalform:              

    d P;E) = = 1 (LE)

Aufgabe: Berechnen Sie den Abstand des Punkte P(6|2|10) von der Ebene E mit der Gleichung:

    Normalenvektor:                          Hessesche Normalform:              

    d P;E) = = 5 (LE)

Aufgabe: Berechnen Sie den Abstand des Punkte P(7|1|6) von der Ebene E mit der Gleichung:  x - 2y + 2z = 8

    Normalenvektor:                          Hessesche Normalform:              

    d P;E) = = 3 (LE)

Aufgabe: Berechnen Sie den Abstand des Punkte P(2|1|7) von der Ebene E durch die Punkte A(1|2|4), B(5|10|1) und C(10|-2|0)     (LB.S.139 Nr.30e)  

 Ebene E:       in Koordinatenform: 4x + y + 8z = 38      Normalenvektor:              Hessesche Normalform: d P;E) = = 3 (LE)

Aufgabe: Berechnen Sie das Volumen der Pyramide mit den Eckpunkten A(1|1|1), B(7|5|3), C(5|7|1) und D(5|5|7).

Berechnen des Flächeninhaltes der Grundfläche ABC

mit  und wird aus

Berechnen der Körperhöhe h = d(D;EABC)

Ebene EABC:

Ebene EABC: -3x + 2y + 5z = 4

d(D;EABC) =

                            V = · AG · h =· 2√38 ·(26/√38) =  ⅔·26 ≈ 17,3 (VE)

         home                   Stoff                                 zurück                        HA                          top

        Übung: Abstand zwischen einem Punkt und einer Gerade

Aufgabe:

        home                   Stoff                                 zurück                        HA                          top

        Übung: Systematisierung analytische Geometrie

Aufgabe:

        home                   Stoff                                 zurück                        HA                          top

 

Übungen - Mathematik   Klasse 13-II GK

        Übung: Wiederholung Kurvendiskussion ganzrationaler Funktionen

f(x) = x3 - 4/3·x2 + 5/3

allgemeine Schrittfolge f(x) = x3 - 4/3·x2 + 5/3 graphische Darstellung
1. Definitionsbereich DB = {x | x R}   oder   DB = R

Tangente an der Stelle xo = 2

(1)  f(2) = 8/3 - 16/3 + 5/3 = -1  Po(2|-1)

(2)  f '(2) = 4 - 16/3 = -4/3 = mt        

(3)  y - yo = mt · (x - xo)                  

y - (-1) = -4/3 · (x - 2)            

y + 1 = -4/3·x + 8/3 

y = -4/3x + 5/3

Tangente an der Stelle xo = -1

(1)  f(-1) = -1/3 - 4/3 + 5/3 = 0  Po(-1|0)

(2)  f '(-1) = 1 + 8/3 = 11/3 = mt        

(3)  y - yo = mt · (x - xo)                  

y - 0 = 11/3 · (x + 1)            

y = 11/3x + 11/3

 

2. Symmetrie f(-x)=·(-x)3-4/3·(-x)2+5/3 = -x3- 4/3x2+5/3 f(x) 

f(-x) =·(-x)3-4/3·(-x)2+5/3 = -x3- 4/3x2+5/3 -f(x)

Gf ist weder axialsymmetrisch zur y-Achse noch zentralsymmetrisch zum Koordinatenursprung 

3. Nullstellen aus   f(x) = 0 = x3 - 4/3·x2 + 5/3 = x3 - 4x2 + 5    folgt eine Lösung durch Probieren mit x1 = -1 und daraus per Polynom- division:  0 = (x+1)·(x2-5x+5)  ;die daraus folgende Gleichung: 0 = x2-5x+5   hat die Lösungen  x2 = 1,38 und x3 = 3,62    

die Nullstellen lauten also: xN1=-1   xN2=1,38  und  xN3 = 3,62

4. Extrempunkte aus f '(x) = 0 =x2 - 8/3·x = x·(x - 8/3) folgt:  Gf hat die mög- lichen Extremstellen: xE1=0 und xE2=8/3 und  mit f ''(0)=-8/3 <0 und f''(8/3) = 8/3>0  folgt:  Gf hat einen Hochpunkt bei H(0|5/3) und einen Tiefpunkt bei  T(8/3|-1,49) 
5. Wendepunkte aus f ''(x) = 0 = 2x - 8/3 folgt: Gf hat die möglichen Wende- stelle: xW=4/3 und mit f '''(4/3) = 2 folgt Gf hat den Wende- punkt:     W(4/3|0,09)                                   
6. Verhalten im Unendlichen der Graph Gf hat am linken Rand des Koordinatensystems große negative Funktionswerte und am rechten Rand des Koordinaten- systems große positive Funktionswerte
7. Wertetabelle
x -1,5 0,5 2 4
y -2,46 1,375 -1 1,67

 

 

       home                   Stoff                                 zurück                        HA                          top

        Übung: Wiederholung Kurvendiskussion von Exponentialfunktionen

        home                   Stoff                                 zurück                        HA                          top

        Übung: Wiederholung Tangenten und Normalen

Die Sekante s schneidet den Graphen Gf der Funktion f mit der Gleichung:   f(x) = 1/x   in den Punkten P(4|¼) und Q( ¼/4). Ermitteln Sie die Gleichungen der Tangenten t1 und t2 an den Graphen Gf, welche parallel zur Sekante s verlaufen!

Gleichung der Sekante s:                     y - 4 = -1·(x - ¼)    y = -x +17/4

Ableitung von f:    f(x) = 1/x = x-1     f '(x) = - x-2 = -1/x2  =  mt    (1.Ableitung = Kurvenanstieg = Tangenanstieg)

Tangenten müssen Anstieg mt = -1 haben damit sie parallel zur Sekante s liegen

                                f'(x) = -1        -1 = -1/x2        x2 = 1        xo1 = -1  und xo2 = 1

vollständige Berührungspunktkoordinaten:    f(-1) = -1    Po1(-1|-1)        f(1) = 1    Po2(1|1)

Tangentengleichungen:    y+1 = -1·(x+1)    y = -x - 2            y-1 = -1·(x-1)    y = -x + 2

        home                   Stoff                                 zurück                        HA                          top

        Übung: Quotientenregel und Produktregel

f(t) = (3t2+t)·(1-t2)    f '(x) = (6t+1)·(1-t2) + (3t2+t)·(-2t) = 6t-6t3+1-t2-6t3-2t2 = -12t3-3t2+6t+1

f(x) = (x - 2)·√x           

        f(x) = x·(x2 + 3x)       

        f(x) = x·x  = x3/2         

                         

                       

                             

                  

Klett LB. S. 166 Nr. 17

  1.                      
  2.                
  3.                
  4.                 

Klett LB. S. 166 Nr. 18

  1.                
  2.                    
  3.                
  4.                  

        home                   Stoff                                 zurück                        HA                          top

        Übung: Kurvendiskussion gebrochenrationaler Funktionen

f(x) = 2x2/(1-x2)

  1. DB = {x| x ≠ 1 und x ≠ -1}
  2. Symmetrie: f(-x) = 2(-x)2/(1-(-x)2) = 2x2/(1-x2) = f(x)   Graph von f ist axialsymmetrisch zu y-Achse
  3. Nullstellen:   u(x)=0    2x2=0    x2=0    xn=0 mögliche Nullstelle;  v(0)=1≠0    xn = 0 gesicherte Nullstelle
  4. Definitionslücken: v(x)=0    1-x2=0    x2=1    xP1=1 und xP2=-1 mögliche Polstellen    u(±1)=2≠0  daraus folgt  xP1=1 und xP2=-1  gesicherte Polstellen; die senkrechten Geraden (Asymptoten) x=-1 und x=1 teilen den Graph in drei Abschnitte
  5. Ableitungen:          f '(x) = 4x/(1-x2)2        f ''(x) = (4+12x2)/(1-x2)3                    
  6. Extrempunkte:   4x/(1-x2)2 =0     4x=0     xE=0  mögliche Extremstelle;   f ''(0)=4/1>0    xE=0 gesicherte Tief- punktstelle    f(0)=0    Graph hat bei T(0|0) einen lokalen Tiefpunkt
  7. Wendepunkte:    (4+12x2)/(1-x2)3=0    4+12x2=0    x2=-⅓    es gibt mit Sicherheit keine Wendestellen
  8. Verhalten im Unendlichen: der Graph nähert sich für sehr kleine bzw. sehr große Argumente der waagerechten Gerade (Asymptote)   y = -2
  9. Wertetabelle:
    x 0,5 0,75 1,5 2 3 5
    y 0,67 2,57 -3,6 -2,67 -2,25 -2,08
  10. graphische Darstellung:                
  11. Tangente bei xo = -0,5:   y = -32/9 ·x -10/9            Tangente bei xo = 3:   y = 3/16 ·x - 45/16

f(x) = (x2+1)/(x2-4)

  1. DB = {x| x ≠ 2 und x ≠ -2}
  2. Symmetrie: f(-x) = ((-x)2+1)/((-x)2-4) = (x2+1)/(x2-4) = f(x)   Graph von f ist axialsymmetrisch zu y-Achse
  3. Nullstellen:   u(x)=0    x2+1=0    x2=-1    n.l. der Graph von f besitzt keine Nullstellen 
  4. Definitionslücken: v(x)=0    x2-4=0    x2=2    xP1=2 und xP2=-2 mögliche Polstellen    u(±2)=5≠0  daraus folgt  xP1=1 und xP2=-1  gesicherte Polstellen; die senkrechten Geraden (Asymptoten) x=-1 und x=1 teilen den Graph in drei Abschnitte
  5. Ableitungen:          f '(x) = -10x/(x2-4)2        f ''(x) = (30x2+40)/(x2-4)3                   
  6. Extrempunkte:   -10x/(x2-4)2 =0  -10x=0  xE=0  mögliche Extremstelle; f ''(0)=-5/8<0  xE=0 gesicherte Hoch- punktstelle    f(0)=-¼    Graph hat bei H(0|-¼) einen lokalen Hochpunkt
  7. Wendepunkte:    (30x2+40)/(x2-4)3=0    30x2+40=0    x2=-4/3    es gibt mit Sicherheit keine Wendestellen
  8. Verhalten im Unendlichen: der Graph nähert sich für sehr kleine bzw. sehr große Argumente der waagerechten Gerade (Asymptote)   y = 1
  9. Wertetabelle:
    x 1 1,5 2,5 3 4 5
    y -0,67 -1,86 3,22 2 1,42 1,24
  10. graphische Darstellung:                

 

        home                   Stoff                                 zurück                        HA                          top

        Übung: Nullstellen gebrochenrationaler Funktionen

    u(x) = 8x2-0,5 = 0        xN1= ¼         xN2= -¼            v(¼) = 9/20    v(-¼) = 0!

                                     Nullstelle: xN=¼

    u(x) = x2+2x-15 = 0        xN1=-5    xN2=3    u(-5)=-96≠0    u(3) = 0!

                                    Nullstelle: xN=-5

        home                   Stoff                                 zurück                        HA                          top

        Übung: Polstellen gebrochenrationaler Funktionen

       v(x) = 4x2+9x+2 = 0     xP1=-¼        xP2=-2            u(-¼) = 0!    u(-2) = 31,5≠0    

                                          Polstelle: xP=-2

   v(x) = x3-x2-9x+9 = 0    xP1=-3    xP2=1    xP3=3   (mittels Polynomdivision) 

                                         u(-3)=-12≠0    u(1)=-12≠0    u(3)=0!

                                    Polstellen:    xP1=-3    xP2=1

        home                   Stoff                                 zurück                        HA                          top

        Übung: Verhalten gebrochenrationaler Funktionen im Unendlichen

         waagerechte Asymptote   y = 0

schräge Asymptote: y=-4x+10

        home                   Stoff                                 zurück                        HA                          top

        Übung: Kurvendiskussion gebrochenrationaler Funktionen(2.Teil)

f(x) = x2/(x-1)

  1. DB = {x| x ≠ 1 }
  2. Symmetrie: f(-x) = (-x)2/((-x)-1) = x2/(-x-1) = -x2/(x+1) f(x) aber auch  -f(x)  Graph von f ist weder axial- symmetrisch zu y-Achse noch zentralsymmetrisch zum Koordinatenursprung
  3. Nullstellen:   u(x)=0    x2=0    xN=0 mögliche Nullstelle;  v(0)=-1≠0    xN = 0 gesicherte Nullstelle
  4. Definitionslücken: v(x)=0  x-1=0  xP=1 mögliche Polstelle  u(1)=1≠0  daraus folgt  xP=1  gesicherte Polstellen; die senkrechte Gerade (Asymptote)  x=1 teilt den Graph in zwrei Abschnitte
  5. Ableitungen:          f '(x) = (x2-2x)/(x-1)2        f ''(x) = 2/(x-1)3                    
  6. Extrempunkte:      (x2-2x)/(x-1)2 =0        x·(x-2)=0         xE1=0    und    xE2=2      mögliche Extremstelle;        f ''(0)=-2<0    xE1=0     gesicherte Hochpunktstelle       f ''(2)=2>0        xE2=2     gesicherte Hochpunktstelle f(0)=0    f(2)=4    Graph hat bei H(0|0) einen lokalen Tiefpunkt und bei T(2|4) einen lokalen Tiefpunkt
  7. Wendepunkte:    2/(x-1)3=0    2=0  f.A.     es gibt mit Sicherheit keine Wendestellen
  8. Verhalten im Unendlichen: der Graph nähert sich für sehr kleine bzw. sehr große Argumente der schrägen Gerade (Asymptote)   y = x+1 (durch Polynomdivision mit Rest)
  9. Wertetabelle:
    x -6 -4 -2 0,5 0,75 1,25 1,5 2 4 6
    y -5,1 -3,2 -1,3 -0,5 -2,25 6,25 4,5 4 5,3 7,2
  10. graphische Darstellung:                  

weitere durchgerechnete Übungen siehe Cornelsen LB.S.196-202

        home                   Stoff                                 zurück                        HA                          top

        Übung: Kurvenscharen gebrochenrationaler Funktionen

Aufgabe: Bilden Sie die ersten beiden Ableitungen für folgende Kurvenscharen

bulletfc(x) = 1/(x2+c)                    fc'(x) = (-2x)/(x2+c)2                fc''(x) = (6x2-2c)/(x2+c)3
bulletft(x) = (x2-4)/(x-t)              ft'(x) = (x2-2tx+4)/(x-t)2          ft''(x) = (2t2-8)/(x-t)3
bulletfb(x) = (2x-b2)/x2                fb'(x) = (-2x+2b2)/x3                 fb''(x) = (4x-6b2)/x4
bulletft(x) = (x2+2x)/(x+t)2        ft'(x) = ((2t-2)x+2t)/(x+t)3      ft''(x) = ((4-4t)x+2t2-8t)/(x+t)4

ft(x) = x3/(x2-t2)    (t>0)    

  1. DB = {x| |x| t }
  2. Symmetrie: ft(-x) = (-x)3/((-x)2-t2)= -x3/(x2-t2)= -ft(x)  Graph von fk ist zentralsymmetrisch zum Koord.ursprung 
  3. Nullstellen: u(x)=x3=0    xN=0 mögliche Nullstelle; v(0)=-t2≠0  xN = 0 gesicherte Nullstelle
  4. Definitionslücken: v(x)=x2-t2=0  x2=t2  xP1=t  xP2=-t mögliche Polstellen, u(t)=t3≠0 u(-t)=-t3≠0  xP1=t  xP2=-t gesicherte Polstellen, Lage der senkrechten Asymptoten bei x=t  und x=-t  vom Scharparameter t abhängig
  5. Ableitungen:     ft'(x) = (x4-3t2x2)/(x2-t2)2  ft''(x) = (2t2x3+6t4x)/(x2-t2)3    ft'''(x) = (-6x4-36t2x2-6t4)/(x2-t2)4   
  6. Extrempunkte: x4-3t2x2=0  x2·(x2-3t2)=0  xE1=0   xE2=t·√3    xE3=-t·√3 mögliche Extremstellen;   ft''(0)=0 ???  ft''(t·√3)=(3√3)/(2t)    stets positiv für t>0      gesicherte Tiefpunktstelle        ft(-t·√3)=1,5t·√3     Graph hat bei Tt(√3|1,5t·√3) einen (von t abhängigen) lokalen Tiefpunkt         ft''(-t·√3)=(-3√3)/(2t)   stets kleiner Null für t>0   gesicherte Hochpunktstelle ft(-t·√3)=-1,5t·√3  Graph hat bei Ht(-t·√3|-1,5t·√3) einen (von t abhängigen) lokalen Hochpunkt
  7. Wendepunkte:    2t2x3+6t4x=0    x·(2t2x2+6t4)=0   xW=0     einzig mögliche Wendestelle ft'''(0)=-6/t4≠0    xW=0   gesicherte Wendestelle ft(0)=0  alle Graphen haben bei W(0|0)  einen (von t unabhängigen) Wendepunkt, der gleichzeitig ein Sattelpunkt (waagerechte Wendetangente) ist 
  8. Verhalten im Unendlichen: der Graph nähert sich unabhängig vom Parameter t für sehr kleine bzw. sehr große Argumente der schrägen Asymptote: y =x 
  9. Ortskurve der Extrema:  xE=t·√3  t=xE/√3   yE=1,5t·√3=1,5(xE/√3)·√3= 1,5·xE  Ortskurvey=1,5·x 
  10. Wertetabellen: für t=1;  t=1,5 und  t=2   mit Hilfe eines Computerprogramms
  11. graphische Darstellung:                                

weitere durchgerechnete Übungen siehe Cornelsen LB.S.203-208

        home                   Stoff                                 zurück                        HA                          top

        Übung: Flächenberechnung an gebrochen rationalen Funktionen

        home                   Stoff                                 zurück                        HA                          top